Ultimele actualizari :
27/01/2026
Beta-blocant   Carvedilol  
Soluţie orală
Stabilitatea preparatelor farmaceutice Stabilitatea in amestec Factorii care influenteaza stabilitatea Compatibilitate Bibliografie pdf
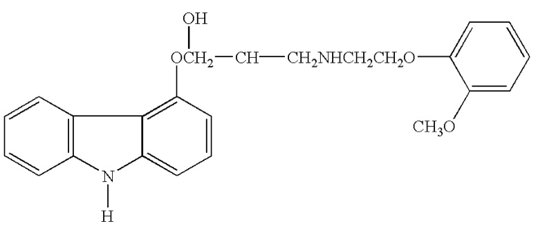
   Formula chimica  

Soluţie orală
Stabilitatea in amestec   Soluţie orală   Stabilitatea in amestec : Carvedilol     
Absenta de date

  Mentions Légales