Last update :
27/01/2026
Beta-blocker   Carvedilol  
Oral solution
Stability of pharmaceutical preparations Stability of mixtures Factors which affect stability Compatibility References pdf
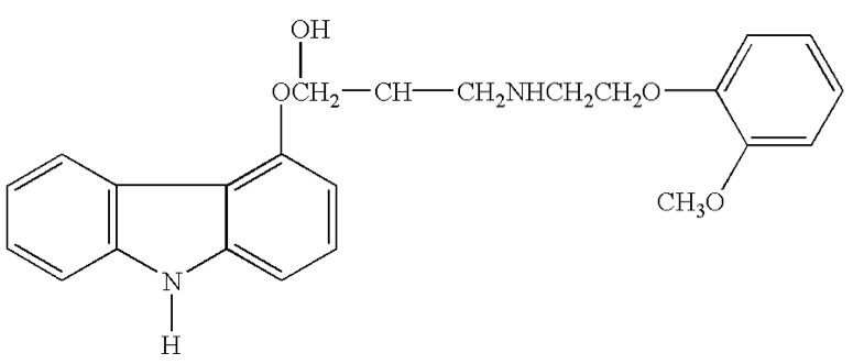
   Chemical structure  

Oral solution
Stability of mixtures   Oral solution   Stability of mixtures : Carvedilol     
No data

  Mentions Légales