Siste oppdatering :
27/01/2026
Betablokker   Carvedilol  
Mikstur
Stabilitet av farmasøytiske preparater Stabilitet i blandinger Faktorer som påvirker stabiliteten Kompatibilitet Referanser pdf
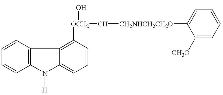
   Kjemisk struktur  

Mikstur
Stabilitet i blandinger   Mikstur   Stabilitet i blandinger : Carvedilol     
Ingen opplysninger

  Mentions Légales