Posledná aktualizácia :
27/01/2026
beta-blokátor   Carvedilol  
Perorálny roztok
Stabilita farmaceutických prípravkov Stabilita v zmesiach Faktory ovplyvňujúce stabilitu Kompatibility Odkazy na literatúru PDF
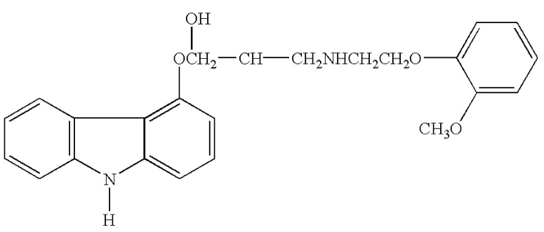
   Chemický vzorec  

Perorálny roztok
Stabilita v zmesiach   Perorálny roztok   Stabilita v zmesiach : Carvedilol     
žiadne údaje

  Mentions Légales