Senaste uppdateringen :
27/01/2026
cancerläkemedel   Etoposide  
Oral lösning
injektion
Stabilitet av läkemedel Stabilitet i blandningar Faktorer som påverkar stabiliteten Kompatibilitet Hänvisningar pdf
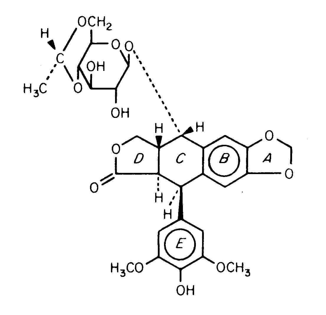
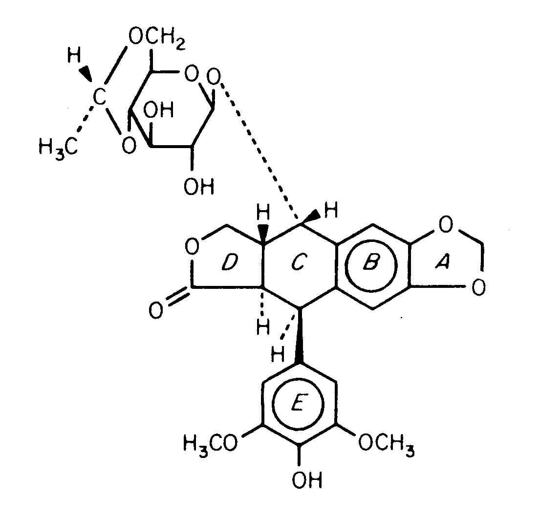
   Molekylstruktur  

Oral lösning
Stabilitet i blandningar   Oral lösning   Stabilitet i blandningar : Etoposide     
Ingen uppgift

  Mentions Légales