Zadnji put ažurirano :
27/01/2026
lijek protiv karcinoma   Etoposide  
oralna otopina
injekcija
Stabilnost farmaceutskih pripravaka Stabilnost mješavine Stabilizacijski faktor Kompatibilnosti Bibliografija pdf
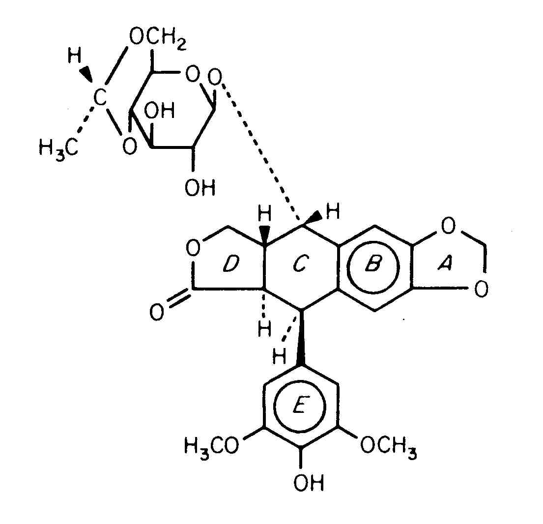
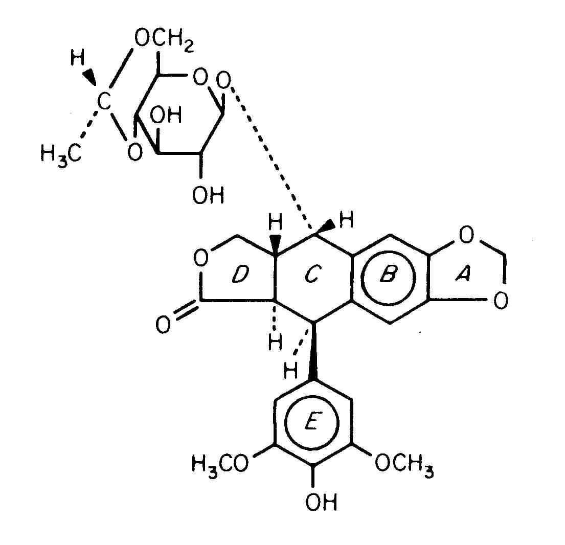
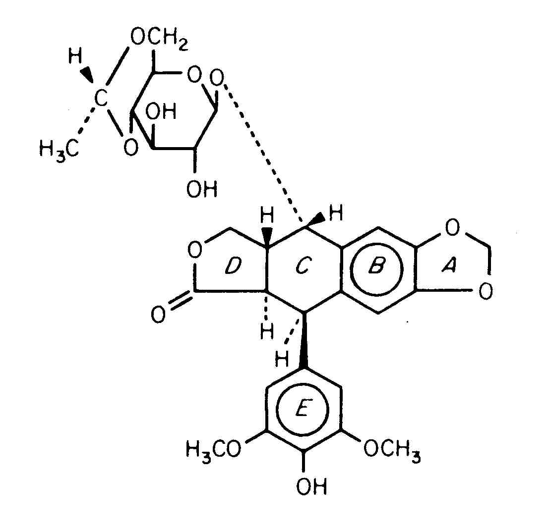
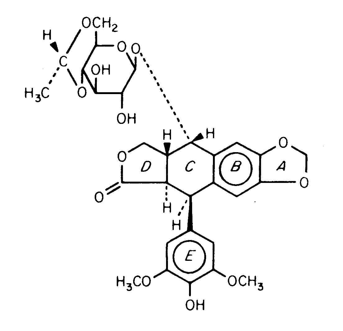
   Kemijska struktura  

oralna otopina
Stabilnost mješavine   oralna otopina     Stabilnost mješavine : Etoposide     
bez podataka

  Mentions Légales