Posledná aktualizácia :
27/01/2026
Protinádorová liečba   Etoposide  
Perorálny roztok
Injekcia
Stabilita farmaceutických prípravkov Stabilita v zmesiach Faktory ovplyvňujúce stabilitu Kompatibility Odkazy na literatúru PDF
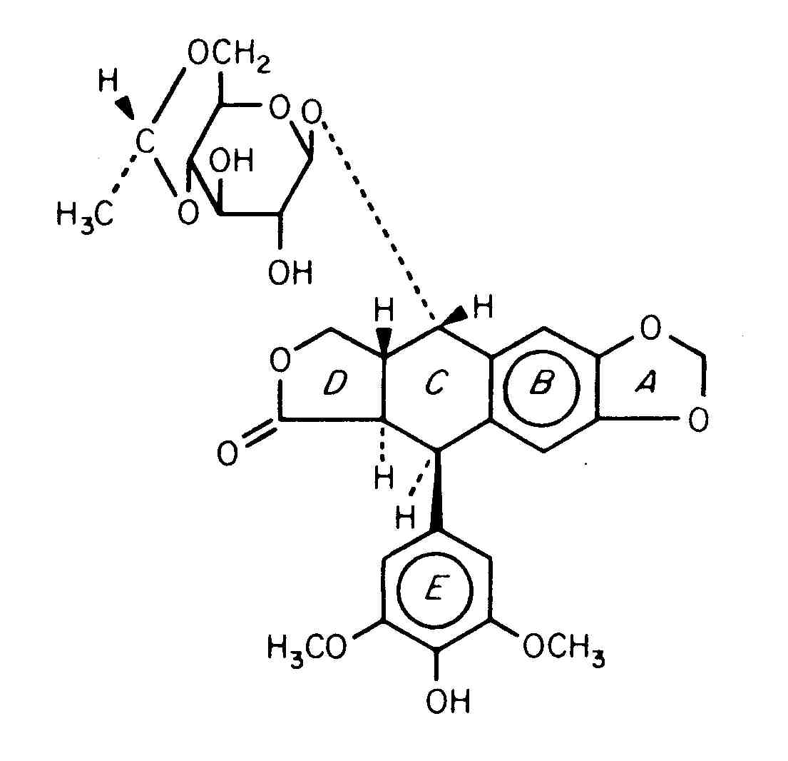
   Chemický vzorec  

Perorálny roztok
Stabilita v zmesiach   Perorálny roztok   Stabilita v zmesiach : Etoposide     
žiadne údaje

  Mentions Légales