Last update :
27/01/2026
Anticancer drug   Etoposide  
Oral solution
injection
Stability of pharmaceutical preparations Stability of mixtures Factors which affect stability Compatibility References pdf
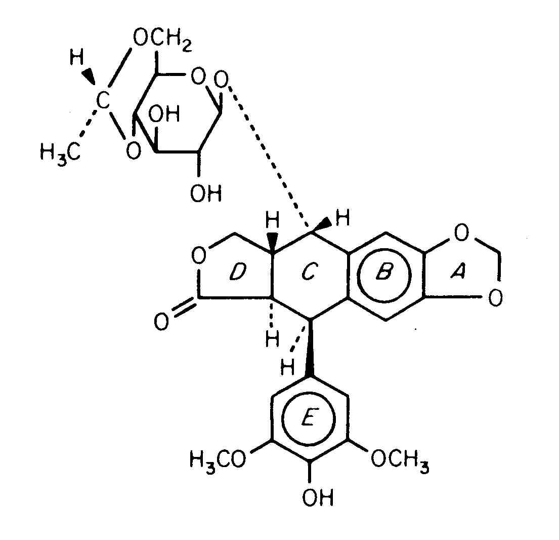
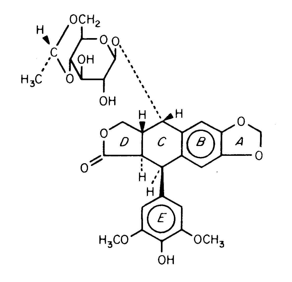
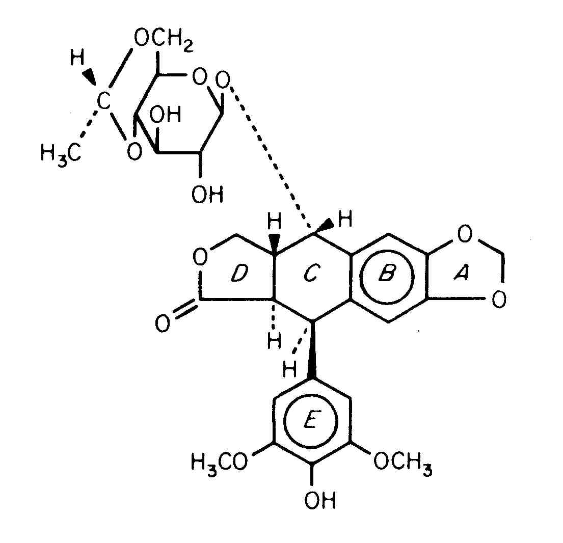
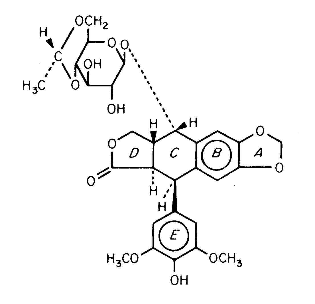
   Chemical structure  

Oral solution
Stability of mixtures   Oral solution   Stability of mixtures : Etoposide     
No data

  Mentions Légales