Ultimo aggiornamento :
27/01/2026
farmaco contro il cancro   Etoposide  
Soluzione orale
Iniezione
Stabilità dei preparati farmaceutici Stabilità in miscela Fattori che influenzano la stabilità Compatibilità Bibliografia pdf
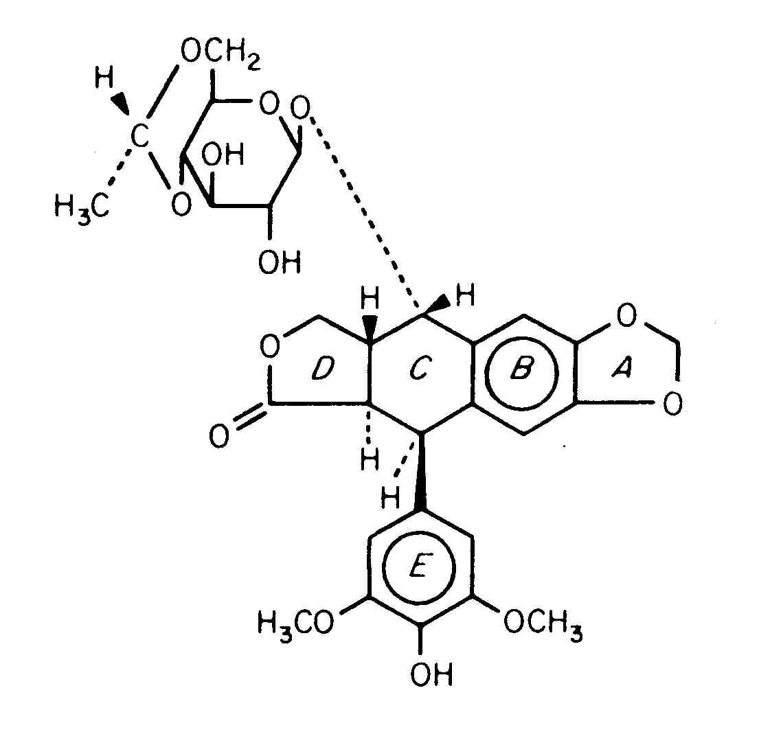
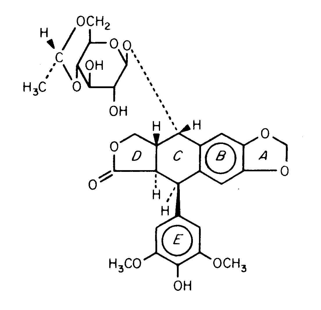
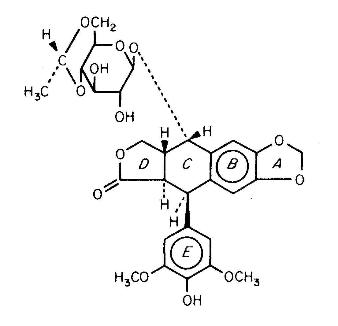
   Struttura chimica  

Soluzione orale
Stabilità in miscela   Soluzione orale   Stabilità in miscela : Etoposide     
Assenza di dati

  Mentions Légales