Última actualização :
27/04/2026
Inmunosupressor   Ciclosporin  
Solução Oral
injetável Pomadas solução oftálmica
Estabilidade de preparações farmacêuticas Estabilidade em misturas Factores que afectam a sua estabilidade Compatibilidade Bibliografía pdf
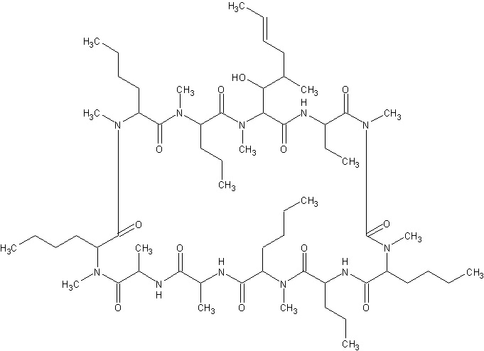
   estrutura química  

Solução Oral
Estabilidade em misturas   Solução Oral   Estabilidade em misturas : Ciclosporin     
Ausência de dados

  Mentions Légales