Letztes “update” :
27/04/2026
Immunsuppressivum   Ciclosporin  
Lösung zum Einnehmen
Augentropfen Injektion Salben
Stabilität von pharmazeutischen Präparaten Gemengestabilität Stabilitätbeeinflussende Faktoren Kompatibilitäten Literaturverzeichnis pdf
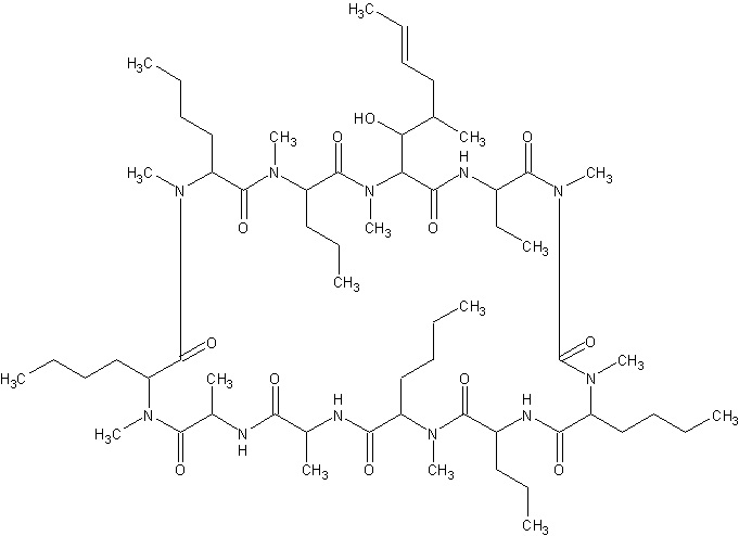
   Chemische Struktur  

Lösung zum Einnehmen
Gemengestabilität   Lösung zum Einnehmen   Gemengestabilität : Ciclosporin     
Keine Daten

  Mentions Légales