Poslední aktualizace :
27/04/2026
Imunosupresantas   Ciclosporin  
Geriamas tirpalas
Akių lašai Įpurškimas Tepalai
Stabilumas farmacinių preparatų Mišinių stabilumas Stabilumą lemiantys veiksniai Suderinamumas Bibliografija pdf
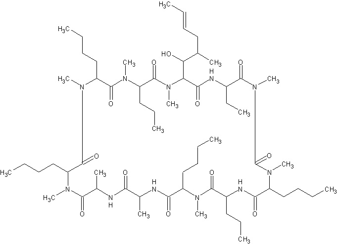
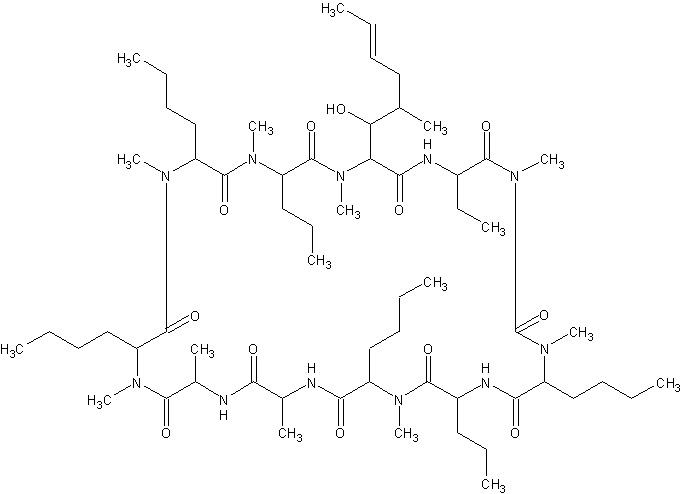
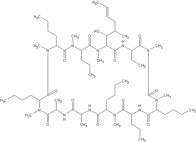
   Cheminė sandara  

Geriamas tirpalas
Mišinių stabilumas   Geriamas tirpalas   Mišinių stabilumas : Ciclosporin     
Nėra duomenų

  Mentions Légales