Seneste opdatering :
27/04/2026
Immunsuppressivum   Ciclosporin  
Oral opløsning
Injektion Salver Øjendråber
Stabilitet af farmaceutiske tilberedninger Stabilitet i blandinger Faktorer der påvirker stabiliteten Kompatibilitet Bibliografi pdf
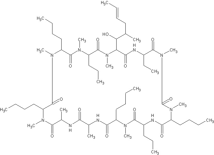
   Kemisk struktur  

Oral opløsning
Stabilitet i blandinger   Oral opløsning   Stabilitet i blandinger : Ciclosporin     
Ingen data

  Mentions Légales