Senaste uppdateringen :
18/03/2026
Protonpumpshämmare   Omeprazole sodium  
Oral lösning
injektion
Stabilitet av läkemedel Stabilitet i blandningar Faktorer som påverkar stabiliteten Kompatibilitet Hänvisningar pdf
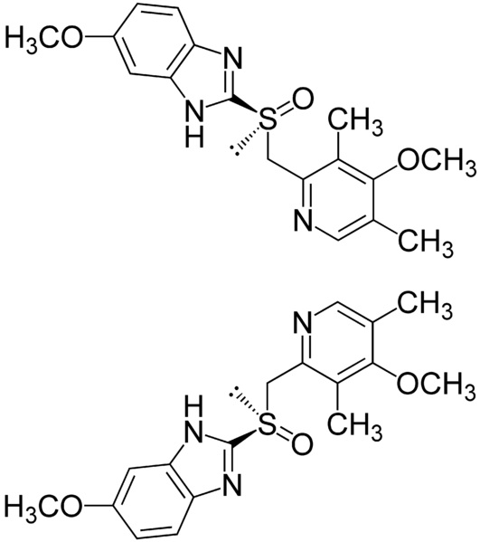
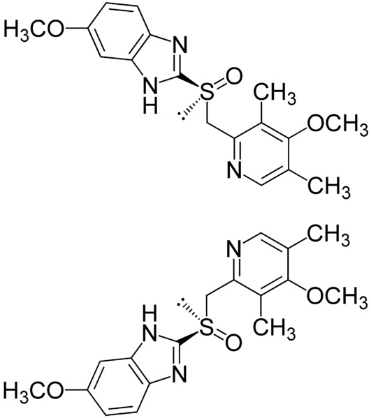
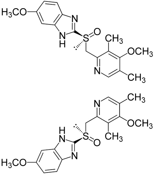
   Molekylstruktur  

Oral lösning
Kompatibilitet   Oral lösning   Kompatibilitet : Omeprazole sodium              
Ingen uppgift

  Mentions Légales