Ostatnia aktualizacja :
27/01/2026
Inhibitory pompy protonowej   Omeprazole sodium  
Roztwór doustny
Injekcje
Stabilność preparatów farmaceutycznych Trwałość w mieszaninie Czynnik wpływający na trwałość Zgodność Bibliografia pdf
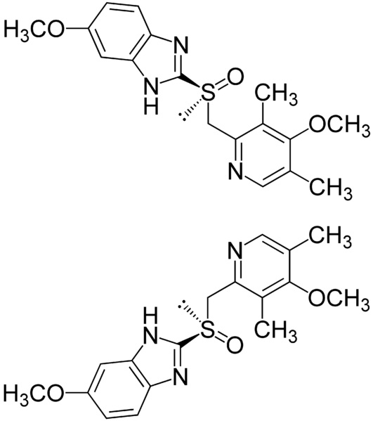
   Struktura chemiczna  

Roztwór doustny
Zgodność   Roztwór doustny   Zgodność : Omeprazole sodium              
Brak danych

  Mentions Légales