Последнее обновление :
27/01/2026
Ингибитор протонового насоса   Omeprazole sodium  
Раствор для перорального приёма
Инъекция
Стабильность фармацевтических препаратов Стабильность смесей Факторы, которые влияют на стабильность Совместимость Библиография pdf
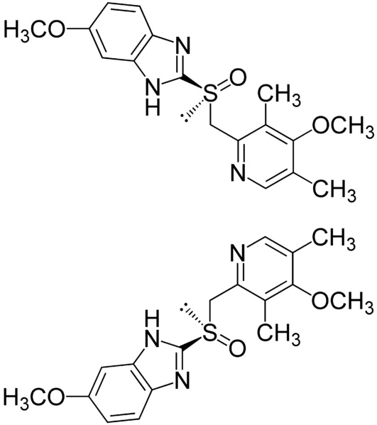
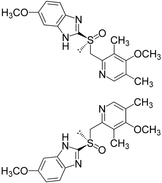
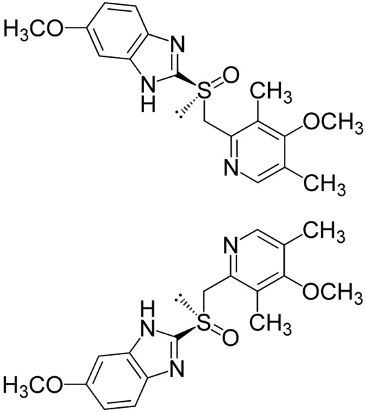
   Химическая структура  

Раствор для перорального приёма
Совместимость   Раствор для перорального приёма   Совместимость : Omeprazole sodium              
данных нет

  Mentions Légales