Última actualização :
27/01/2026
Inhibidor de la bomba de proties   Omeprazole sodium  
Solução Oral
injetável
Estabilidade de preparações farmacêuticas Estabilidade em misturas Factores que afectam a sua estabilidade Compatibilidade Bibliografía pdf
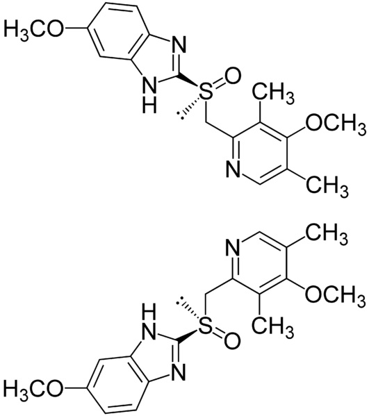
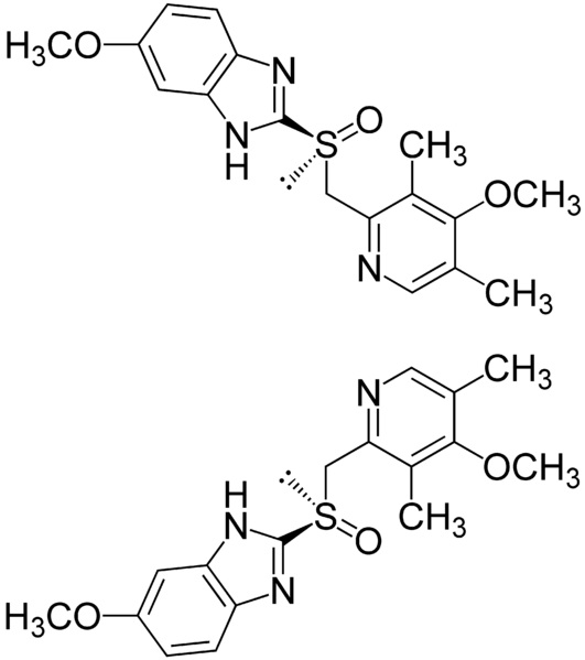
   estrutura química  

Solução Oral
Compatibilidade   Solução Oral   Compatibilidade : Omeprazole sodium              
Ausência de dados

  Mentions Légales