Ultimo aggiornamento :
27/01/2026
Inibitore della pompa protonica   Omeprazole sodium  
Soluzione orale
Iniezione
Stabilità dei preparati farmaceutici Stabilità in miscela Fattori che influenzano la stabilità Compatibilità Bibliografia pdf
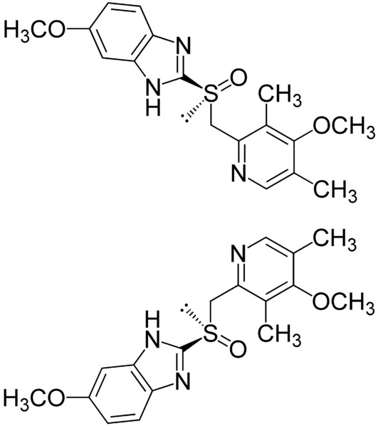
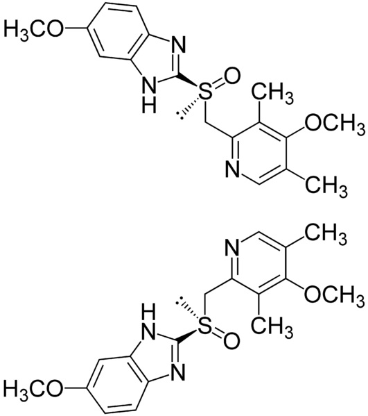
   Struttura chimica  

Soluzione orale
Compatibilità   Soluzione orale   Compatibilità : Omeprazole sodium              
Assenza di dati

  Mentions Légales