Siste oppdatering :
27/01/2026
Protonpumpehemmer   Omeprazole sodium  
Mikstur
Injeksjon
Stabilitet av farmasøytiske preparater Stabilitet i blandinger Faktorer som påvirker stabiliteten Kompatibilitet Referanser pdf
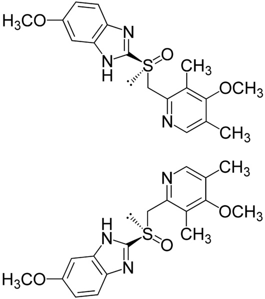
   Kjemisk struktur  

Mikstur
Kompatibilitet   Mikstur   Kompatibilitet : Omeprazole sodium              
Ingen opplysninger

  Mentions Légales