Cập nhật lần cuối :
27/04/2026
Infostab
Danh sách các chất
Danh sách tóm tắt
Tìm kiếm khả năng tương thích
Bảng tương thích Y-site
Tài liệu tham khảo
đội nghiên cứu
valistab
Poster
kết nối
nhà tài trợ
Các tác giả
Hướng dẫn dành cho người dùng
Bản tin cập nhật
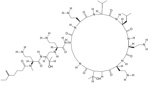
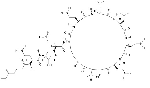
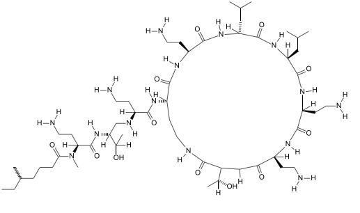
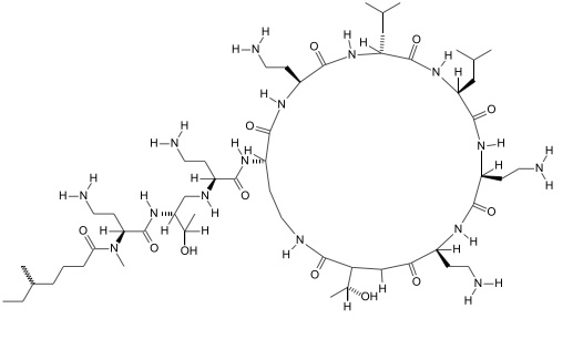
Colistin mesilate sodium
Cấu trúc hóa học
Tài liệu tham khảo : Colistin mesilate sodium
Loại
Nguồn
2550
Tạp chí
Roberts GW, Rossi S.O.P.
Compatibility of nebulizer solutions
Aust J Hosp Pharm 1993 ; 23: 35-37.
3334
Tạp chí
Krämer I, Walz-Jung H, Stanko C, Kamin W.
Physicochemical compatibility of nebuliser solution admixtures containing colistimethate and hypertonic saline or colistimethate, fluticasone-17-propionate, ipratropium bromide and salbutamol sulfate.
EJHP 2013 ;20:36-41
3440
Tạp chí
Wollstadt A, Krämer I, Kamin W.
Physicochemical compatibility of nebulizable drug admixtures containing colistimethate and tobramycin.
Pharmazie 2013 ; 68: 744-748.
Mentions Légales