Senaste uppdateringen :
27/04/2026
Infostab
Förteckning över substanser
Sammanfattande listor
Sök efter kompatibilitet
Kompatibilitetstabell
Hänvisningar
forskargrupper
valistab
Posters
Anslutningar
sponsorer
Författare
Användaranvisning
Nyhetsbladet
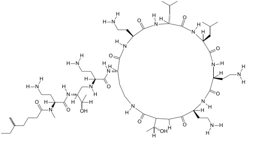
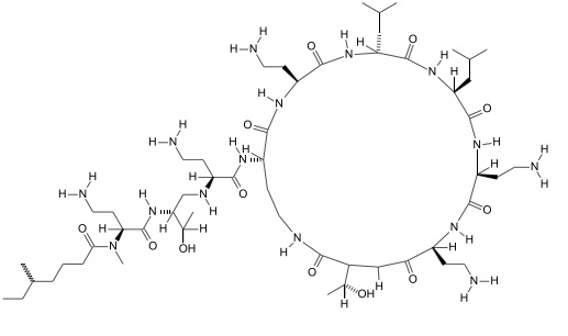
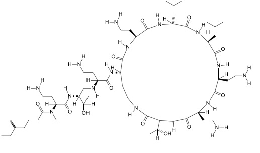
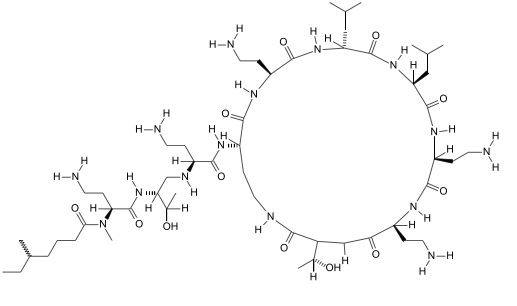
Colistin mesilate sodium
Molekylstruktur
Hänvisningar : Colistin mesilate sodium
Typ
Publikation
2550
tidningen
Roberts GW, Rossi S.O.P.
Compatibility of nebulizer solutions
Aust J Hosp Pharm 1993 ; 23: 35-37.
3334
tidningen
Krämer I, Walz-Jung H, Stanko C, Kamin W.
Physicochemical compatibility of nebuliser solution admixtures containing colistimethate and hypertonic saline or colistimethate, fluticasone-17-propionate, ipratropium bromide and salbutamol sulfate.
EJHP 2013 ;20:36-41
3440
tidningen
Wollstadt A, Krämer I, Kamin W.
Physicochemical compatibility of nebulizable drug admixtures containing colistimethate and tobramycin.
Pharmazie 2013 ; 68: 744-748.
Mentions Légales