Poslední aktualizace :
27/04/2026
Infostab
Junginių sąrašas
Sąrašai
Ieškoti suderinamumo
Y formos suderinamumo lentelė
Bibliografija
Mokslinių tyrimų Komandos
valistab
plakatas
Jungtys
rėmėjai
Autorius
Naudojimo instrukcija
Biuletenį
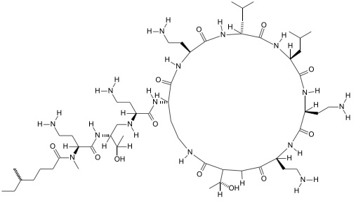
Colistin mesilate sodium
Cheminė sandara
Bibliografija : Colistin mesilate sodium
tipas
leidinys
2550
Žurnalas
Roberts GW, Rossi S.O.P.
Compatibility of nebulizer solutions
Aust J Hosp Pharm 1993 ; 23: 35-37.
3334
Žurnalas
Krämer I, Walz-Jung H, Stanko C, Kamin W.
Physicochemical compatibility of nebuliser solution admixtures containing colistimethate and hypertonic saline or colistimethate, fluticasone-17-propionate, ipratropium bromide and salbutamol sulfate.
EJHP 2013 ;20:36-41
3440
Žurnalas
Wollstadt A, Krämer I, Kamin W.
Physicochemical compatibility of nebulizable drug admixtures containing colistimethate and tobramycin.
Pharmazie 2013 ; 68: 744-748.
Mentions Légales