Utolsó frissítés :
27/04/2026
Infostab
Listák
Összesítő lista
Kompatibilitások keresése
Y-site kompatibilitási táblázat
Irodalom
kutatócsoportok
valistab
poszter
Kapcsolatok
támogatók
Szerző
Felhasználói útmutató
Hírlevél
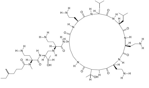
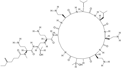
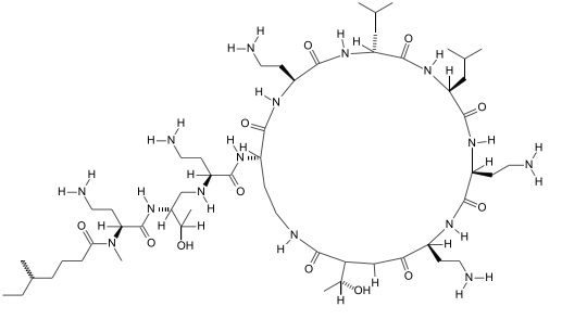
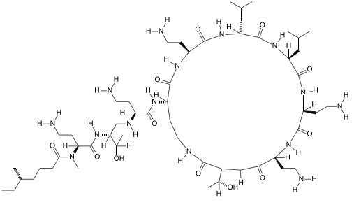
Colistin mesilate sodium
Kémiai szerkezet
Irodalom : Colistin mesilate sodium
Type
publikáció
2550
Napló
Roberts GW, Rossi S.O.P.
Compatibility of nebulizer solutions
Aust J Hosp Pharm 1993 ; 23: 35-37.
3334
Napló
Krämer I, Walz-Jung H, Stanko C, Kamin W.
Physicochemical compatibility of nebuliser solution admixtures containing colistimethate and hypertonic saline or colistimethate, fluticasone-17-propionate, ipratropium bromide and salbutamol sulfate.
EJHP 2013 ;20:36-41
3440
Napló
Wollstadt A, Krämer I, Kamin W.
Physicochemical compatibility of nebulizable drug admixtures containing colistimethate and tobramycin.
Pharmazie 2013 ; 68: 744-748.
Mentions Légales