Laatste update :
27/04/2026
Infostab
Stoffenlijst
Zoeken via pictogrammen
zoeken naar verenigbaarheden
Y-site verenigbaarheden tabel
Literatuur
onderzoeksgroepen
valistab
Poster
Verbindingen
sponsors
Auteur
Gebruiksaanwijzing
Nieuwsbrief
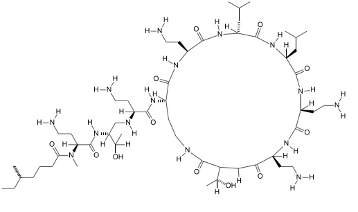
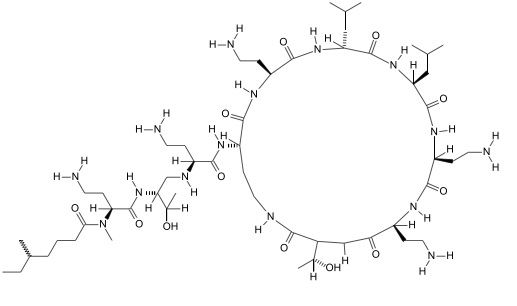
Colistin mesilate sodium
Molecuulstructuur
Literatuur : Colistin mesilate sodium
type
publicatie
2550
Artikel
Roberts GW, Rossi S.O.P.
Compatibility of nebulizer solutions
Aust J Hosp Pharm 1993 ; 23: 35-37.
3334
Artikel
Krämer I, Walz-Jung H, Stanko C, Kamin W.
Physicochemical compatibility of nebuliser solution admixtures containing colistimethate and hypertonic saline or colistimethate, fluticasone-17-propionate, ipratropium bromide and salbutamol sulfate.
EJHP 2013 ;20:36-41
3440
Artikel
Wollstadt A, Krämer I, Kamin W.
Physicochemical compatibility of nebulizable drug admixtures containing colistimethate and tobramycin.
Pharmazie 2013 ; 68: 744-748.
Mentions Légales