Последнее обновление :
27/04/2026
Infostab
Списки
Списки
Поиск совместимостей
Таблица совместимостей в Y-соединении систем
Библиография
Исследовательские группы
valistab
плакат
связи
спонсоры
Автор
Инструкция по эксплуатации
Информационый бюллетень
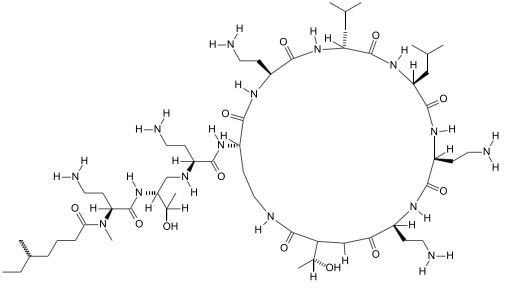
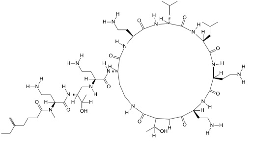
Colistin mesilate sodium
Химическая структура
Библиография : Colistin mesilate sodium
тип
публикация
2550
Журнал
Roberts GW, Rossi S.O.P.
Compatibility of nebulizer solutions
Aust J Hosp Pharm 1993 ; 23: 35-37.
3334
Журнал
Krämer I, Walz-Jung H, Stanko C, Kamin W.
Physicochemical compatibility of nebuliser solution admixtures containing colistimethate and hypertonic saline or colistimethate, fluticasone-17-propionate, ipratropium bromide and salbutamol sulfate.
EJHP 2013 ;20:36-41
3440
Журнал
Wollstadt A, Krämer I, Kamin W.
Physicochemical compatibility of nebulizable drug admixtures containing colistimethate and tobramycin.
Pharmazie 2013 ; 68: 744-748.
Mentions Légales