Siste oppdatering :
05/12/2025
kreft narkotika   Dacarbazine  
Injeksjon
Oppløsningsstabilitet Stabilitet i blandinger Faktorer som påvirker stabiliteten Kompatibilitet Administrasjonsmåte Referanser pdf
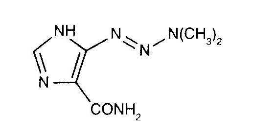
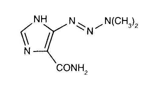
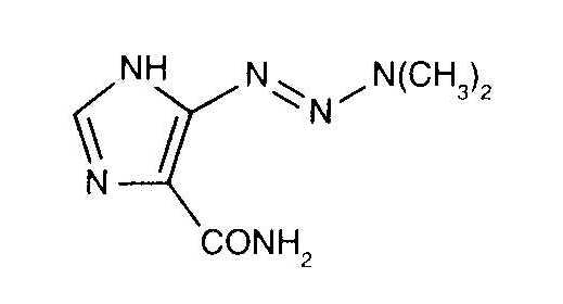
   Kjemisk struktur  

Handelsnavn   Handelsnavn     

Handelsnavn er veiledende og sammensetning av hjelpestoffer kan være forskjellig avhengig av land og produsent

Acocarb Mexico
Celdaz India, Peru
Dabaz Brasil, India
Dacarba India
Dacarbazin Malaysia, Polen, Ungarn, Østerrike
Dacarbazina Argentina, Brasil, Chile, Colombia, Ecuador, Italia, Mexico, Peru, Spania
Dacarbazine Australia, Belgia, Canada, Danmark, India, Iran, Irland, New Zealand, Storbritannia, Sverige, USA
Dacarex India
Dacarin India
Dacarpalm Peru
Dacarzine India
Dacin Slovenia, Sveits
Dacmed India
Daracina Colombia
Deticene Frankrike, Hellas, Nederland, Portugal, Saudi-Arabia
Detimedac Colombia, Romania, Tunisia, Tyskland
DTIC New Zealand, USA, Østerrike
Fauldetic Portugal
Oncocarbil Argentina, Ecuador, Peru
Tiferomed Mexico
Oppløsningsstabilitet   Injeksjon   Oppløsningsstabilitet : Dacarbazine     
Beholder Oppløsningsmiddel Konsentrasjon Temperatur Oppbevaring Varighet av stabilitet Referanser
Glass Vann til injeksjon 10 mg/ml 25°C Beskyttes mot lys
15 Tid
3266
Stabilitetsopplysninger fra produsent

Glass Vann til injeksjon 10 mg/ml 6-8°C Beskyttes mot lys
14 Dag
3266
Stabilitetsopplysninger fra produsent

Glass Vann til injeksjon 11 mg/ml 2-6°C Beskyttes mot lys
7 Dag
1635
Bevisgrad B

Glass Vann til injeksjon 11 mg/ml 20-25°C Beskyttes mot lys
96 Tid
1635
Bevisgrad B

Glass Natriumklorid 0,9 % 0,64 mg/ml 23°C Beskyttes mot lys
48 Tid
1501
Bevisgrad A

Glass Natriumklorid 0,9 % 0,64 mg/ml 4°C Beskyttes mot lys
48 Tid
1501
Bevisgrad A

Polyvinylklorid NaCl 0,9% eller glukose 5 % 1,6 mg/ml 4°C Beskyttes mot lys
30 Dag
40
Bevisgrad D

Polyvinylklorid Natriumklorid 0,9 % 0,64 mg/ml 23°C Beskyttes mot lys
48 Tid
1501
Bevisgrad A

Polyvinylklorid Natriumklorid 0,9 % 0,64 mg/ml 4°C Beskyttes mot lys
48 Tid
1501
Bevisgrad A

Polyvinylklorid Glukose 5 % 1,4 mg/ml 2-6°C Beskyttes mot lys
168 Tid
1635
Bevisgrad B

Polyvinylklorid Glukose 5 % 1,4 mg/ml 20°C-25°C Beskyttes mot lys
72 Tid
1635
Bevisgrad B

Polyetylen Natriumklorid 0,9 % 0,64 mg/ml 23°C Beskyttes mot lys
48 Tid
1501
Bevisgrad A

Polyetylen Natriumklorid 0,9 % 0,64 mg/ml 4°C Beskyttes mot lys
48 Tid
1501
Bevisgrad A

Ikke angitt NaCl 0,9% eller glukose 5 % mg/ml 25°C Beskyttes mot lys
9 Tid
3266
Stabilitetsopplysninger fra produsent

Ikke angitt NaCl 0,9% eller glukose 5 % mg/ml 6-8°C Beskyttes mot lys
6 Dag
3266
Stabilitetsopplysninger fra produsent


  Mentions Légales