viimane versioon :
27/04/2026
vähiravimite   Dacarbazine  
Süsteravim
Stabiilsus lahustes Stabiilsust mõjutavad tegurid stabiilsust mõjutavad faktorid Sobimatus Manustamis viis Viited pdf
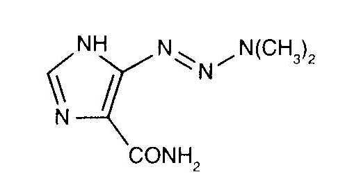
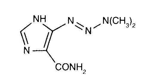
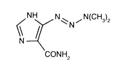
   keemiline struktuur  

Kaubanduslikud nimed erinevates maades   Kaubanduslikud nimed erinevates maades     

Preparaatide nimed on näitlikud ja abianete sisaldus võib erineda sõltuvalt riigist ja laborist

Acocarb Mehhiko
Celdaz India, Maroko
Dabaz Brasiilia, India
Dacarba India
Dacarbazin Austria, Malaisia, Poola, Ungari
Dacarbazina Argentiina, Brasiilia, Ecuador, Hispaania, Itaalia, Kolumbia, Maroko, Mehhiko, Tšiili
Dacarbazine Ameerika ühendriigid, Austraalia, Belgia, Iirimaa, India, Iraan, Kanada, Rootsi, Suurbritannia, Taani, uus-Meremaa
Dacarex India
Dacarin India
Dacarpalm Maroko
Dacarzine India
Dacin Sloveenia, Sveits
Dacmed India
Daracina Kolumbia
Deticene Holland, Kreeka, Portugal, Prantsusmaa, Saudi Araabia
Detimedac Kolumbia, Rumeenia, Saksamaa, Tuneesia
DTIC Ameerika ühendriigid, Austria, uus-Meremaa
Fauldetic Portugal
Oncocarbil Argentiina, Ecuador, Maroko
Tiferomed Mehhiko
Stabiilsus lahustes   Süsteravim   Stabiilsus lahustes : Dacarbazine     
konteiner lahusti kontsentratsioon temperatuur ladustamine Stabiilsuse kestus Viited
klaas süstevesi 10 mg/ml 25°C kaitsta valguse eest
15 Tund
3266
Tootja info stabiilsuse kohta

klaas süstevesi 10 mg/ml 6-8°C kaitsta valguse eest
14 päev
3266
Tootja info stabiilsuse kohta

klaas süstevesi 11 mg/ml 2-6°C kaitsta valguse eest
7 päev
1635
Tõenduspõhisuse tase B

klaas süstevesi 11 mg/ml 20-25°C kaitsta valguse eest
96 Tund
1635
Tõenduspõhisuse tase B

klaas naatriumkloriid 0.9% 0,64 mg/ml 23°C kaitsta valguse eest
48 Tund
1501
Tõenduspõhisuse tase A

klaas naatriumkloriid 0.9% 0,64 mg/ml 4°C kaitsta valguse eest
48 Tund
1501
Tõenduspõhisuse tase A

polüvinüülkloriid naatriumkloriid 0.9% 0,64 mg/ml 23°C kaitsta valguse eest
48 Tund
1501
Tõenduspõhisuse tase A

polüvinüülkloriid naatriumkloriid 0.9% 0,64 mg/ml 4°C kaitsta valguse eest
48 Tund
1501
Tõenduspõhisuse tase A

polüvinüülkloriid naatriumkloriid 0.9% 1,6 mg/ml 4°C kaitsta valguse eest
30 päev
40
Tõenduspõhisuse tase D

polüvinüülkloriid glükoos 5% 1,4 mg/ml 2-6°C kaitsta valguse eest
168 Tund
1635
Tõenduspõhisuse tase B

polüvinüülkloriid glükoos 5% 1,4 mg/ml 20°C-25°C kaitsta valguse eest
72 Tund
1635
Tõenduspõhisuse tase B

polüvinüülkloriid glükoos 5% 1,6 mg/ml 4°C kaitsta valguse eest
30 päev
40
Tõenduspõhisuse tase D

polüetüleen naatriumkloriid 0.9% 0,64 mg/ml 23°C kaitsta valguse eest
48 Tund
1501
Tõenduspõhisuse tase A

polüetüleen naatriumkloriid 0.9% 0,64 mg/ml 4°C kaitsta valguse eest
48 Tund
1501
Tõenduspõhisuse tase A

pole täpsustatud naatriumkloriid 0.9% mg/ml 25°C kaitsta valguse eest
9 Tund
3266
Tootja info stabiilsuse kohta

pole täpsustatud naatriumkloriid 0.9% mg/ml 6-8°C kaitsta valguse eest
6 päev
3266
Tootja info stabiilsuse kohta

pole täpsustatud glükoos 5% mg/ml 25°C kaitsta valguse eest
9 Tund
3266
Tootja info stabiilsuse kohta

pole täpsustatud glükoos 5% mg/ml 6-8°C kaitsta valguse eest
6 päev
3266
Tootja info stabiilsuse kohta


  Mentions Légales