Zadnji put ažurirano :
27/04/2026
lijek protiv karcinoma   Dacarbazine  
injekcija
Stabilizacija rješenja Stabilnost mješavine Stabilizacijski faktor Kompatibilnosti način davanja lijeka Bibliografija pdf
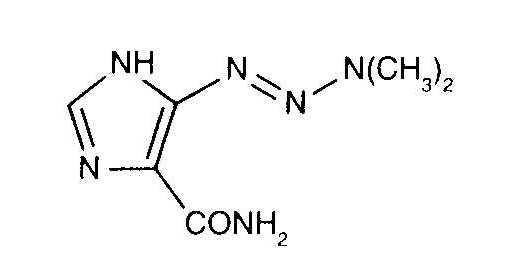
   Kemijska struktura  

Nekomercijalni   Nekomercijalni     

Zaštićeni nazivi su indikativni i sastav ekscipijensa može biti različit ovisno o državi i laboratorijima

Acocarb Meksiko
Celdaz Indija, Peru
Dabaz Indija, Brazil
Dacarba Indija
Dacarbazin Austrija, Madžarska, Malezija, Poljska
Dacarbazina Argentina, Brazil, Čile, Ekvador, Italija, Kolumbija, Meksiko, Peru, Španjolska
Dacarbazine Indija, Australija, Belgija, Danska, Iran, Irska, Kanada, novi Zeland, S A D, Švedska, Velika Britanija
Dacarex Indija
Dacarin Indija
Dacarpalm Peru
Dacarzine Indija
Dacin Slovenija, Švicarska
Dacmed Indija
Daracina Kolumbija
Deticene Francuska, Grčka, Nizozemska, Portugal, Saudijska Arabija
Detimedac Kolumbija, Njemačka, Rumunjska, Tunis
DTIC Austrija, novi Zeland, S A D
Fauldetic Portugal
Oncocarbil Argentina, Ekvador, Peru
Tiferomed Meksiko
Stabilizacija rješenja   injekcija   Stabilizacija rješenja : Dacarbazine     
Kontejner sredstvo za rastapanje koncentracija temperatura Konzerviranje Trajanje stabilnosti Bibliografija
čaša čista voda za injektiranje 10 mg/ml 25°C Zaštićeno od svjetlosti
15 sat
3266
Podaci proizvođača o stabilnosti

čaša čista voda za injektiranje 10 mg/ml 6-8°C Zaštićeno od svjetlosti
14 dan
3266
Podaci proizvođača o stabilnosti

čaša čista voda za injektiranje 11 mg/ml 2-6°C Zaštićeno od svjetlosti
7 dan
1635
Razina dokaza B

čaša čista voda za injektiranje 11 mg/ml 20-25°C Zaštićeno od svjetlosti
96 sat
1635
Razina dokaza B

čaša natrijumkorid 0,9% 0,64 mg/ml 23°C Zaštićeno od svjetlosti
48 sat
1501
Razina dokaza A

čaša natrijumkorid 0,9% 0,64 mg/ml 4°C Zaštićeno od svjetlosti
48 sat
1501
Razina dokaza A

polivinilklorid natrijumkorid 0,9% 0,64 mg/ml 23°C Zaštićeno od svjetlosti
48 sat
1501
Razina dokaza A

polivinilklorid natrijumkorid 0,9% 0,64 mg/ml 4°C Zaštićeno od svjetlosti
48 sat
1501
Razina dokaza A

polivinilklorid natrijumkorid 0,9% 1,6 mg/ml 4°C Zaštićeno od svjetlosti
30 dan
40
Razina dokaza D

polivinilklorid glukoza 5% 1,4 mg/ml 2-6°C Zaštićeno od svjetlosti
168 sat
1635
Razina dokaza B

polivinilklorid glukoza 5% 1,4 mg/ml 20°C-25°C Zaštićeno od svjetlosti
72 sat
1635
Razina dokaza B

polivinilklorid glukoza 5% 1,6 mg/ml 4°C Zaštićeno od svjetlosti
30 dan
40
Razina dokaza D

polietilen natrijumkorid 0,9% 0,64 mg/ml 23°C Zaštićeno od svjetlosti
48 sat
1501
Razina dokaza A

polietilen natrijumkorid 0,9% 0,64 mg/ml 4°C Zaštićeno od svjetlosti
48 sat
1501
Razina dokaza A

nespecifičan natrijumkorid 0,9% mg/ml 25°C Zaštićeno od svjetlosti
9 sat
3266
Podaci proizvođača o stabilnosti

nespecifičan natrijumkorid 0,9% mg/ml 6-8°C Zaštićeno od svjetlosti
6 dan
3266
Podaci proizvođača o stabilnosti

nespecifičan glukoza 5% mg/ml 25°C Zaštićeno od svjetlosti
9 sat
3266
Podaci proizvođača o stabilnosti

nespecifičan glukoza 5% mg/ml 6-8°C Zaštićeno od svjetlosti
6 dan
3266
Podaci proizvođača o stabilnosti


  Mentions Légales