Last update :
27/01/2026
Anticancer drug   Dacarbazine  
injection
Stability in solutions Stability of mixtures Factors which affect stability Compatibility Route of administration References pdf
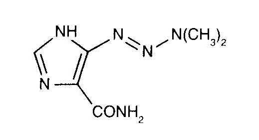
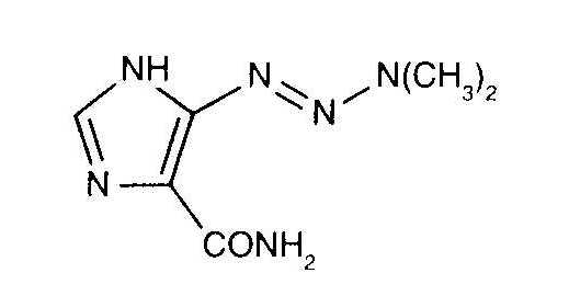
   Chemical structure  

Tradename   Tradename     

Trade names are indicative and excipients composition can be different depending on the country and manufacturers

Acocarb Mexico
Celdaz India, Peru
Dabaz Brazil, India
Dacarba India
Dacarbazin Austria, Hungary, Malaysia, Poland
Dacarbazina Argentina, Brazil, Chile, Colombia, Ecuador, Italy, Mexico, Peru, Spain
Dacarbazine Australia, Belgium, Canada, Denmark, Great Britain, India, Iran, Ireland, New Zealand, Sweden, United States of America
Dacarex India
Dacarin India
Dacarpalm Peru
Dacarzine India
Dacin Slovenia, Switzerland
Dacmed India
Daracina Colombia
Deticene France, Greece, Netherlands, Portugal, Saudi Arabia
Detimedac Colombia, Germany, Romania, Tunisia
DTIC Austria, New Zealand, United States of America
Fauldetic Portugal
Oncocarbil Argentina, Ecuador, Peru
Tiferomed Mexico
Stability in solutions   injection   Stability in solutions : Dacarbazine     
Container Solvent Concentration Temperature Storage Duration of stability References
Glass Water for Injection 10 mg/ml 25°C Protect from light
15 Hour
3266
Manufacturer's stability data

Glass Water for Injection 10 mg/ml 6-8°C Protect from light
14 Day
3266
Manufacturer's stability data

Glass Water for Injection 11 mg/ml 2-6°C Protect from light
7 Day
1635
Level of evidence B

Glass Water for Injection 11 mg/ml 20-25°C Protect from light
96 Hour
1635
Level of evidence B

Glass Sodium chloride 0,9% 0,64 mg/ml 23°C Protect from light
48 Hour
1501
Level of evidence A

Glass Sodium chloride 0,9% 0,64 mg/ml 4°C Protect from light
48 Hour
1501
Level of evidence A

Polyvinyl chloride Sodium chloride 0,9% 0,64 mg/ml 23°C Protect from light
48 Hour
1501
Level of evidence A

Polyvinyl chloride Sodium chloride 0,9% 0,64 mg/ml 4°C Protect from light
48 Hour
1501
Level of evidence A

Polyvinyl chloride Sodium chloride 0,9% 1,6 mg/ml 4°C Protect from light
30 Day
40
Level of evidence D

Polyvinyl chloride Glucose 5% 1,4 mg/ml 2-6°C Protect from light
168 Hour
1635
Level of evidence B

Polyvinyl chloride Glucose 5% 1,4 mg/ml 20°C-25°C Protect from light
72 Hour
1635
Level of evidence B

Polyvinyl chloride Glucose 5% 1,6 mg/ml 4°C Protect from light
30 Day
40
Level of evidence D

Polyethylene Sodium chloride 0,9% 0,64 mg/ml 23°C Protect from light
48 Hour
1501
Level of evidence A

Polyethylene Sodium chloride 0,9% 0,64 mg/ml 4°C Protect from light
48 Hour
1501
Level of evidence A

Not specified Sodium chloride 0,9% mg/ml 25°C Protect from light
9 Hour
3266
Manufacturer's stability data

Not specified Sodium chloride 0,9% mg/ml 6-8°C Protect from light
6 Day
3266
Manufacturer's stability data

Not specified Glucose 5% mg/ml 25°C Protect from light
9 Hour
3266
Manufacturer's stability data

Not specified Glucose 5% mg/ml 6-8°C Protect from light
6 Day
3266
Manufacturer's stability data


  Mentions Légales