Останнє оновлення :
27/04/2026
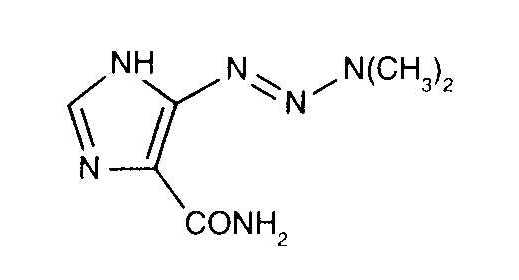
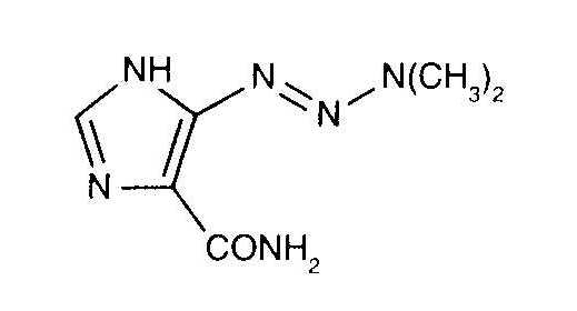
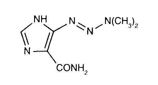
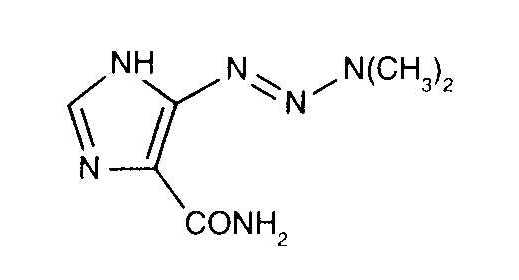
Протипухлинний препарат   Dacarbazine  
ін'єкція
Стійкість в розчинах Стійкість сумішей Фактори, що впливають на стабільність Сумісність Шлях введення Список літератури pdf
   Хімічна структура  

Торгова назва   Торгова назва     

Торгові назви є орієнтовними, а склад допоміжних речовин може бути різним залежно від країни та виробника

Acocarb Мексика
Celdaz Індія, Перу
Dabaz Індія, Бразилія
Dacarba Індія
Dacarbazin Австрія, Малайзія, Польща, Угорщина
Dacarbazina Іспанія, Італія, Аргентина, Бразилія, Еквадор, Колумбія, Мексика, Перу, Чилі
Dacarbazine Індія, Іран, Ірландія, Австралія, Бельгія, Великобританія, Данія, Канада, Нова Зеландія, Сполучені Штати Америки, Швеція
Dacarex Індія
Dacarin Індія
Dacarpalm Перу
Dacarzine Індія
Dacin Словенія, Швейцарія
Dacmed Індія
Daracina Колумбія
Deticene Греція, Нідерланди, Португалія, Саудівська Аравія, Франція
Detimedac Колумбія, Німеччина, Румунія, Туніс
DTIC Австрія, Нова Зеландія, Сполучені Штати Америки
Fauldetic Португалія
Oncocarbil Аргентина, Еквадор, Перу
Tiferomed Мексика

Фактори, що впливають на стабільність   ін'єкція   Фактори, що впливають на стабільність : Dacarbazine        

  Mentions Légales