Última actualización :
27/04/2026
fármacos contra el cáncer   Dacarbazine  
Inyectables
Estabilidad en solucion Estabilidad en mezcla Factores que influyen sobre la estabilidad Compatibilidades método de inyección Bibliografía pdf
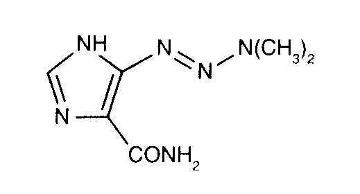
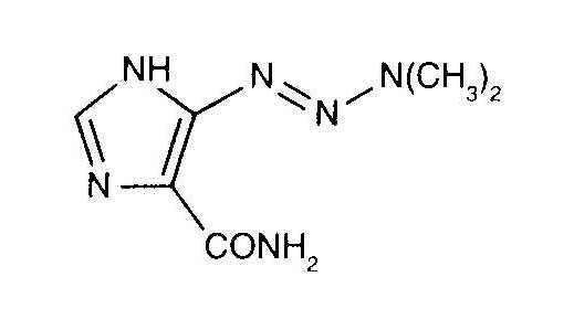
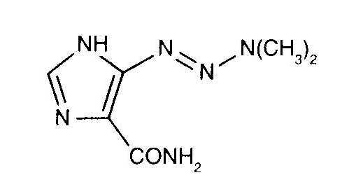
   Estructura química  

Nombre comercial   Nombre comercial     

Los nombres comerciales son orientativos y los excipientes de la formulación pueden ser distintos dependiendo del país y del laboratorio fabricante.

Acocarb México
Celdaz India, Marruecos
Dabaz Brasil, India
Dacarba India
Dacarbazin Austria, Hungría, Malasia, Polonia
Dacarbazina Argentina, Brasil, Chile, Colombia, Ecuador, España, Italia, Marruecos, México
Dacarbazine Australia, Bélgica, Canadá, Dinamarca, Estados Unidos de América, Gran Bretaña, India, Irán, Irlanda, Nueva Zelanda, Suecia
Dacarex India
Dacarin India
Dacarpalm Marruecos
Dacarzine India
Dacin Eslovenia, Suiza
Dacmed India
Daracina Colombia
Deticene Arabia Saudita, Francia, Grecia, Países Bajos, Portugal
Detimedac Alemania, Colombia, Rumania, Túnez
DTIC Austria, Estados Unidos de América, Nueva Zelanda
Fauldetic Portugal
Oncocarbil Argentina, Ecuador, Marruecos
Tiferomed México

Factores que influyen sobre la estabilidad   Inyectables   Factores que influyen sobre la estabilidad : Dacarbazine        

  Mentions Légales