最新更新 :
27/04/2026
細胞増殖抑制薬   Dacarbazine  
注射薬
溶媒内の安定性 混合時の安定性 安定性に影響する因子 互換性 投与経路 引用文献 PDF
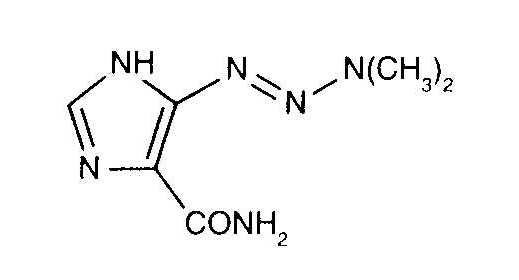
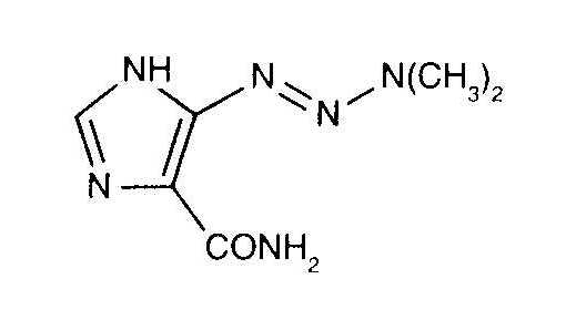
   化学構造  

商品名   商品名     

商品名、賦形剤は国、製薬会社ごとに異なることがあります

Acocarb メキシコ
Celdaz インド, ペルー
Dabaz インド, ブラジル
Dacarba インド
Dacarbazin オーストリア, ハンガリー, ポーランド, マレーシア
Dacarbazina アルゼンチン, イタリア, エクアドル, コロンビア, スペイン, チリ, ブラジル, ペルー, メキシコ
Dacarbazine アイルランド, アメリカ, アーストラリア, イギリス, イラン, インド, カナダ, スウェーデン, デンマーク, ニュージーランド, ベルギー
Dacarex インド
Dacarin インド
Dacarpalm ペルー
Dacarzine インド
Dacin スイス, スロベニア
Dacmed インド
Daracina コロンビア
Deticene オランダ, ギリシア, サウジアラビア, フランス, ポルトガル
Detimedac コロンビア, チュニジア, ドイツ, ルーマニア
DTIC アメリカ, オーストリア, ニュージーランド
Fauldetic ポルトガル
Oncocarbil アルゼンチン, エクアドル, ペルー
Tiferomed メキシコ

安定性に影響する因子   注射薬   安定性に影響する因子 : Dacarbazine        

  Mentions Légales