Viimeisin päivitys :
27/04/2026
syöpälääke   Dacarbazine  
Injektioneste
Stabilius liuoksessa Stabilius seoksissa Tekijät, jotka vaikuttavat stabiliuteen Yhteensopivuus Antotapa Viitteet pdf
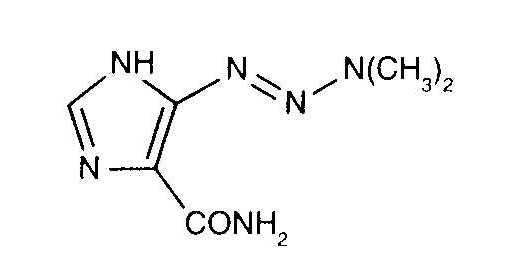
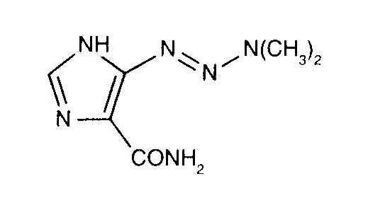
   Kemiallinen rakenne  

Kauppanimi   Kauppanimi     

Trade names are indicative and excipients composition can be different depending on the country and manufacturers

Acocarb Meksiko
Celdaz Intia, Marokko
Dabaz Brasilia, Intia
Dacarba Intia
Dacarbazin Itävalta, Malesia, Puola, Unkari
Dacarbazina Argentiina, Brasilia, Chile, Ecuador, Espanja, Italia, Kolumbia, Marokko, Meksiko
Dacarbazine Australia, Belgia, Intia, Iran, Irlanti, Iso-Britannia, Kanada, New Zealand, Ruotsi, Tanska, Yhdysvallat
Dacarex Intia
Dacarin Intia
Dacarpalm Marokko
Dacarzine Intia
Dacin Slovenia, Sveitsi
Dacmed Intia
Daracina Kolumbia
Deticene Hollanti, Kreikka, Portugali, Ranska, Saudi-Arabia
Detimedac Kolumbia, Romania, Saksa, Tunisia
DTIC Itävalta, New Zealand, Yhdysvallat
Fauldetic Portugali
Oncocarbil Argentiina, Ecuador, Marokko
Tiferomed Meksiko

Tekijät, jotka vaikuttavat stabiliuteen   Injektioneste   Tekijät, jotka vaikuttavat stabiliuteen : Dacarbazine        

  Mentions Légales