zadnja posodobitev :
27/04/2026
rak drog   Dacarbazine  
Brizgalka
Stabilnost raztopine Stabilnost mešanice Faktorji, ki vplivajo na stabilnost Kompatibilnost način aplikacije Viri pdf
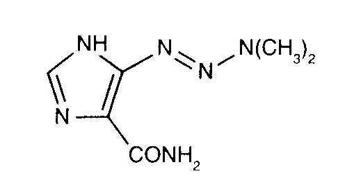
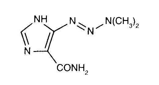
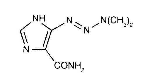
   Kemična formula  

Lastniško ime   Lastniško ime     

Sestava pomožnih snovi je med paralelami lahko različna

Acocarb Mehika
Celdaz Indija, Peru
Dabaz Brazilija, Indija
Dacarba Indija
Dacarbazin Avstrija, Madžarska, Malezija, Poljska
Dacarbazina Argentina, Brazilija, Čile, Ekvador, Italija, Kolumbija, Mehika, Peru, Španija
Dacarbazine Avstralija, Belgija, Danska, Indija, Iran, Irska, Kanada, nova Zelandija, Švedska, Velika Britanija, Združene države Amerike
Dacarex Indija
Dacarin Indija
Dacarpalm Peru
Dacarzine Indija
Dacin Slovenija, Švica
Dacmed Indija
Daracina Kolumbija
Deticene Francija, Grčija, Nizozemska, Portugalska, Savdska Arabija
Detimedac Kolumbija, Nemčija, Romunija, Tunizija
DTIC Avstrija, nova Zelandija, Združene države Amerike
Fauldetic Portugalska
Oncocarbil Argentina, Ekvador, Peru
Tiferomed Mehika

Faktorji, ki vplivajo na stabilnost   Brizgalka   Faktorji, ki vplivajo na stabilnost : Dacarbazine        

  Mentions Légales