Posledná aktualizácia :
27/11/2025
antidotum   Sugammadex  
Injekcia
Stabilita roztokov Stabilita v zmesiach Faktory ovplyvňujúce stabilitu Kompatibility spôsob podania Odkazy na literatúru PDF
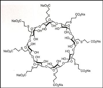
   Chemický vzorec  

Obchodný názov   Obchodný názov     

Obchodné názvy sú orientačné, a zloženie pomocných látok sa môže líšiť v závislosti od krajiny a výrobcu.

Bridion Argentína, Austrália, Belgicko, Brazília, Čile, Dánsko, Ekvádor, Francúzsko, Írsko, Island, Japonsko, Kolumbia, Luxembursko, Maďarsko, Malajzia, Mexiko, Nemecko, Nórsko, nový Zéland, peru, Portugalsko, Rumunsko, Španielsko, Švajčiarsko, Taliansko, Turecko, Veľká Británia
Desintunev Mexiko
Sagomyl Čile
Sugadion Čile
Sugamastar peru
Sugammadex Belgicko, Čile, Fínsko, Írsko, Maďarsko, Španielsko, Taliansko
Suvitali Mexiko
Stabilita v zmesiach   Injekcia   Stabilita v zmesiach : Sugammadex     
žiadne údaje

  Mentions Légales