Letztes “update” :
27/11/2025
Antidot   Sugammadex  
Injektion
Stabilität der Lösung Gemengestabilität Stabilitätbeeinflussende Faktoren Kompatibilitäten Applikationsart Literaturverzeichnis pdf
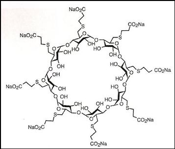
   Chemische Struktur  

Handelsmarke   Handelsmarke     

Handelsnamen sind als beispielhaft anzusehen. Sonstige Bestandteile können je nach Hersteller oder Land verschieden sein

Bridion Argentinien, Australien, Belgien, Brasilien, Chile, Dänemark, Deutschland, Ecuador, Frankreich, Großbritannien, Irland, Island, Italien, Japan, Kolumbien, Luxemburg, Malaysia, Mexiko, Neuseeland, Norwegen, Peru, Portugal, Rumänien, Schweiz, Spanien, Türkei, Ungarn
Desintunev Mexiko
Sagomyl Chile
Sugadion Chile
Sugamastar Peru
Sugammadex Belgien, Chile, Finnland, Irland, Italien, Spanien, Ungarn
Suvitali Mexiko
Gemengestabilität   Injektion   Gemengestabilität : Sugammadex     
Keine Daten

  Mentions Légales