Последно актуализиране :
25/03/2026
Антидот (Противоотрова)   Sugammadex  
Инжекция/Инжекционен
Стабилност на разтвори Стабилност на смеси Фактори, повлияващи стабилността Съвместимост Път на въвеждане Библиография Pdf
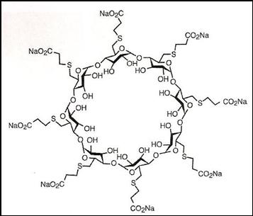
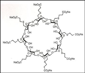
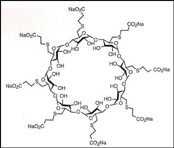
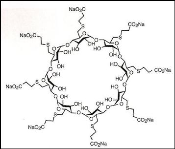
   Химична структура  

Търговско наименование   Търговско наименование     

Търговските имена са примерни и съставът на помощните вещества може да бъде различен в зависимост от държавата и лабораториите

Bridion Австралия, Аржентина, Белгия, Бразилия, Великобритания, Германия, Дания, Еквадор, Ирландия, Исландия, Испания, Италия, Колумбия, Люксенбург, Малайзия, Мексико, нова Зеландия, Норвегия, Перу, Португалия, Румъния, Турция, Унгария, Франция, Чили, Швейцария, Япония
Desintunev Мексико
Sagomyl Чили
Sugadion Чили
Sugamastar Перу
Sugammadex Белгия, Ирландия, Испания, Италия, Унгария, Финландия, Чили
Suvitali Мексико
Стабилност на смеси   Инжекция/Инжекционен   Стабилност на смеси : Sugammadex     
Няма данни

  Mentions Légales