Ultimo aggiornamento :
25/03/2026
Antidoto   Sugammadex  
Iniezione
Stabilità in soluzione Stabilità in miscela Fattori che influenzano la stabilità Compatibilità metodo di iniezione Bibliografia pdf
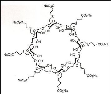
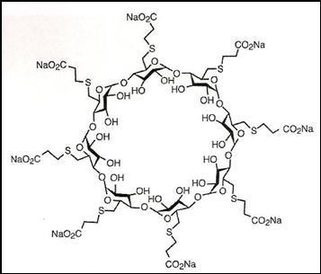
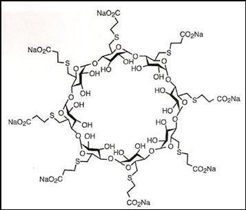
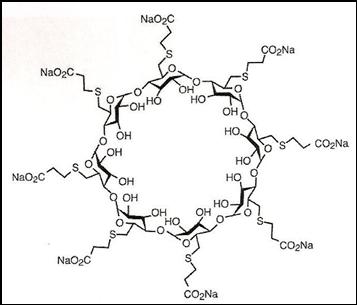
   Struttura chimica  

Nome commerciale   Nome commerciale     

Trade names are indicative and excipients composition can be different depending on the country and manufacturers

Bridion Argentina, Australia, Belgio, Brasile, Chile, Colombia, Danimarca, Ecuador, Francia, Germania, Giappone, Gran Bretagna, Irlanda, Islanda, Italia, Lussemburgo, Malaysia, Messico, Norvegia, nuova Zelanda, Perù, Portogallo, Romania, Spagna, Svizzera, Turchia, Ungheria
Desintunev Messico
Sagomyl Chile
Sugadion Chile
Sugamastar Perù
Sugammadex Belgio, Chile, Finlandia, Irlanda, Italia, Spagna, Ungheria
Suvitali Messico
Stabilità in miscela   Iniezione   Stabilità in miscela : Sugammadex     
Assenza di dati

  Mentions Légales