viimane versioon :
25/03/2026
antidoot   Sugammadex  
Süsteravim
Stabiilsus lahustes Stabiilsust mõjutavad tegurid stabiilsust mõjutavad faktorid Sobimatus Manustamis viis Viited pdf
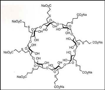
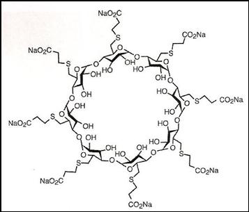
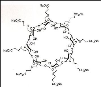
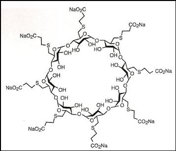
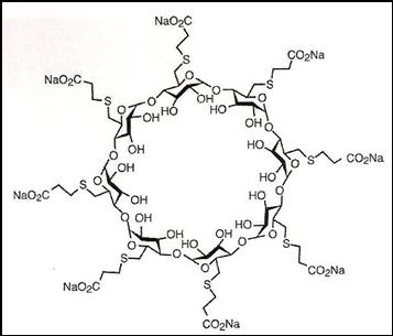
   keemiline struktuur  

Kaubanduslikud nimed erinevates maades   Kaubanduslikud nimed erinevates maades     

Preparaatide nimed on näitlikud ja abianete sisaldus võib erineda sõltuvalt riigist ja laborist

Bridion Argentiina, Austraalia, Belgia, Brasiilia, Ecuador, Hispaania, Iirimaa, Island, Itaalia, Jaapan, Kolumbia, Luksemburg, Malaisia, Maroko, Mehhiko, Norra, Portugal, Prantsusmaa, Rumeenia, Saksamaa, Suurbritannia, Sveits, Taani, Tšiili, Türgi, Ungari, uus-Meremaa
Desintunev Mehhiko
Sagomyl Tšiili
Sugadion Tšiili
Sugamastar Maroko
Sugammadex Belgia, Hispaania, Iirimaa, Itaalia, Soome, Tšiili, Ungari
Suvitali Mehhiko
Stabiilsust mõjutavad tegurid   Süsteravim   Stabiilsust mõjutavad tegurid : Sugammadex     
andmed puuduvad

  Mentions Légales