Son güncelleme :
27/11/2025
Antidot   Sugammadex  
Enjeksiyon
Çözeltilerin stabilitesi Karışımlardaki stabilitesi Stabiliteyi etkileyen faktörler Uyumluluk Uygulama yöntemi Kaynaklar pdf
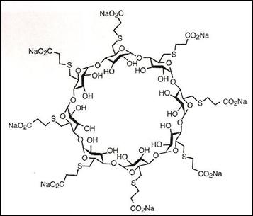
   Kimyasal yapı   

Ticari isim   Ticari isim     

Trade names are indicative and excipients composition can be different depending on the country and manufacturers

Bridion Almanya, Arjantin, Avustralya, Belçika, Brezilya, Büyük Britanya, Danimarka, Ekvador, Fransa, İrlanda, İspanya, İsviçre, İtalya, İzlanda, Japonya, Kolombiya, Lüksemburg, Macaristan, Malezya, Meksika, Norveç, Peru, Portekiz, Romanya, Şili, Türkiye, yeni Zelanda
Desintunev Meksika
Sagomyl Şili
Sugadion Şili
Sugamastar Peru
Sugammadex Belçika, Finlandiya, İrlanda, İspanya, İtalya, Macaristan, Şili
Suvitali Meksika
Kaynaklar   Enjeksiyon    Kaynaklar : Sugammadex  
tip yayın
2328 Laboratuar Sugammadex (Bridion®) – Résumé des caractéristiques du produits
Organon 2009
3372 Dergi Hanci V, Ali Kiraz H, Ömür D, Ekin S, Uyan B, Yurtlu B.S.
Precipitation in Gallipoli: Sugammadex / Amiodarone & Sugammadex / Dobutamine & Sugammadex / Protamine.
Rev Bras Anestesiol 2013 ; 63, 1: 163-166.

  Mentions Légales