viimane versioon :
27/11/2025
antidoot   Sugammadex  
Süsteravim
Stabiilsus lahustes Stabiilsust mõjutavad tegurid stabiilsust mõjutavad faktorid Sobimatus Manustamis viis Viited pdf
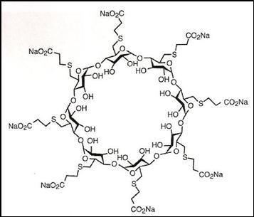
   keemiline struktuur  

Kaubanduslikud nimed erinevates maades   Kaubanduslikud nimed erinevates maades     

Preparaatide nimed on näitlikud ja abianete sisaldus võib erineda sõltuvalt riigist ja laborist

Bridion Argentiina, Austraalia, Belgia, Brasiilia, Ecuador, Hispaania, Iirimaa, Island, Itaalia, Jaapan, Kolumbia, Luksemburg, Malaisia, Maroko, Mehhiko, Norra, Portugal, Prantsusmaa, Rumeenia, Saksamaa, Suurbritannia, Sveits, Taani, Tšiili, Türgi, Ungari, uus-Meremaa
Desintunev Mehhiko
Sagomyl Tšiili
Sugadion Tšiili
Sugamastar Maroko
Sugammadex Belgia, Hispaania, Iirimaa, Itaalia, Soome, Tšiili, Ungari
Suvitali Mehhiko
Viited   Süsteravim   Viited : Sugammadex  
tüüp avaldamine
2328 Labor Sugammadex (Bridion®) – Résumé des caractéristiques du produits
Organon 2009
3372 ajaleht Hanci V, Ali Kiraz H, Ömür D, Ekin S, Uyan B, Yurtlu B.S.
Precipitation in Gallipoli: Sugammadex / Amiodarone & Sugammadex / Dobutamine & Sugammadex / Protamine.
Rev Bras Anestesiol 2013 ; 63, 1: 163-166.

  Mentions Légales