Última actualización :
09/02/2026
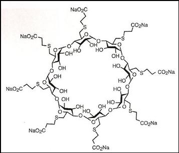
Antídoto   Sugammadex  
Inyectables
Estabilidad en solucion Estabilidad en mezcla Factores que influyen sobre la estabilidad Compatibilidades método de inyección Bibliografía pdf
   Estructura química  

Nombre comercial   Nombre comercial     

Los nombres comerciales son orientativos y los excipientes de la formulación pueden ser distintos dependiendo del país y del laboratorio fabricante.

Bridion Alemania, Argentina, Australia, Bélgica, Brasil, Chile, Colombia, Dinamarca, Ecuador, España, Francia, Gran Bretaña, Hungría, Irlanda, Islandia, Italia, Japón, Luxemburgo, Malasia, Marruecos, México, Noruega, Nueva Zelanda, Portugal, Rumania, Suiza, Turquía
Desintunev México
Sagomyl Chile
Sugadion Chile
Sugamastar Marruecos
Sugammadex Bélgica, Chile, España, Finlandia, Hungría, Irlanda, Italia
Suvitali México
Bibliografía   Inyectables   Bibliografía : Sugammadex  
Tipo Publicación
2328 Laboratorio Sugammadex (Bridion®) – Résumé des caractéristiques du produits
Organon 2009
3372 periódico Hanci V, Ali Kiraz H, Ömür D, Ekin S, Uyan B, Yurtlu B.S.
Precipitation in Gallipoli: Sugammadex / Amiodarone & Sugammadex / Dobutamine & Sugammadex / Protamine.
Rev Bras Anestesiol 2013 ; 63, 1: 163-166.

  Mentions Légales