Seneste opdatering :
27/11/2025
Antidot   Sugammadex  
Injektion
Stabilitet i (vandige) opløsninger Stabilitet i blandinger Faktorer der påvirker stabiliteten Kompatibilitet Administrationsvej Bibliografi pdf
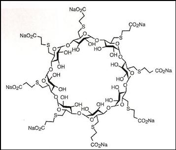
   Kemisk struktur  

Handelsnavn   Handelsnavn     

Handel navne er vejledende og hjælpestoffer sammensætning kan være forskellig afhængigt af landet og laboratorier

Bridion Argentina, Australien, Belgien, Brasilien, Chile, Colombia, Danmark, Ecuador, Frankrig, Irland, Island, Italien, Japan, Luxemborg, Malaysia, Marokko, Mexico, New Zealand, Norge, Portugal, Rumænien, Schweiz, Spanien, Storbritanien, Tyrkiet, Tyskland, Ungarn
Desintunev Mexico
Sagomyl Chile
Sugadion Chile
Sugamastar Marokko
Sugammadex Belgien, Chile, Finland, Irland, Italien, Spanien, Ungarn
Suvitali Mexico
Bibliografi   Injektion   Bibliografi : Sugammadex  
Type offentliggørelse
2328 Laboratorium Sugammadex (Bridion®) – Résumé des caractéristiques du produits
Organon 2009
3372 Journal Hanci V, Ali Kiraz H, Ömür D, Ekin S, Uyan B, Yurtlu B.S.
Precipitation in Gallipoli: Sugammadex / Amiodarone & Sugammadex / Dobutamine & Sugammadex / Protamine.
Rev Bras Anestesiol 2013 ; 63, 1: 163-166.

  Mentions Légales