Zadnji put ažurirano :
27/11/2025
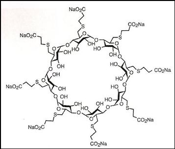
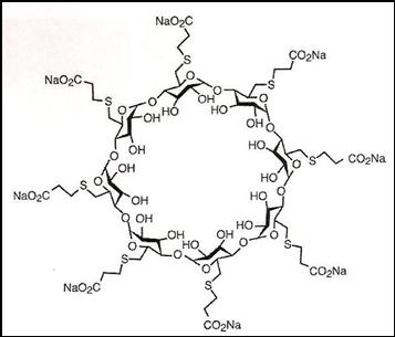
protuotrov   Sugammadex  
injekcija
Stabilizacija rješenja Stabilnost mješavine Stabilizacijski faktor Kompatibilnosti način davanja lijeka Bibliografija pdf
   Kemijska struktura  

Nekomercijalni   Nekomercijalni     

Zaštićeni nazivi su indikativni i sastav ekscipijensa može biti različit ovisno o državi i laboratorijima

Bridion Argentina, Australija, Belgija, Brazil, Čile, Danska, Ekvador, Francuska, Irska, Island, Italija, Japan, Kolumbija, Luksemburg, Madžarska, Malezija, Meksiko, Njemačka, Norveška, novi Zeland, Peru, Portugal, Rumunjska, Španjolska, Švicarska, Turska, Velika Britanija
Desintunev Meksiko
Sagomyl Čile
Sugadion Čile
Sugamastar Peru
Sugammadex Belgija, Čile, Finska, Irska, Italija, Madžarska, Španjolska
Suvitali Meksiko
Bibliografija   injekcija   Bibliografija : Sugammadex  
Vrsta Publikacija
2328 Laboratorija Sugammadex (Bridion®) – Résumé des caractéristiques du produits
Organon 2009
3372 Časopis Hanci V, Ali Kiraz H, Ömür D, Ekin S, Uyan B, Yurtlu B.S.
Precipitation in Gallipoli: Sugammadex / Amiodarone & Sugammadex / Dobutamine & Sugammadex / Protamine.
Rev Bras Anestesiol 2013 ; 63, 1: 163-166.

  Mentions Légales