Laatste update :
27/04/2026
geneesmiddel tegen kanker   Cyclophosphamide  
injecteerbaar geneesmiddel
Capsule Orale Oplossing
Stabiliteit in oplossing Stabiliteit in mengsels Factoren die de stabiliteit beïnvloeden Verenigbaarheden Toedieningswijze Literatuur pdf
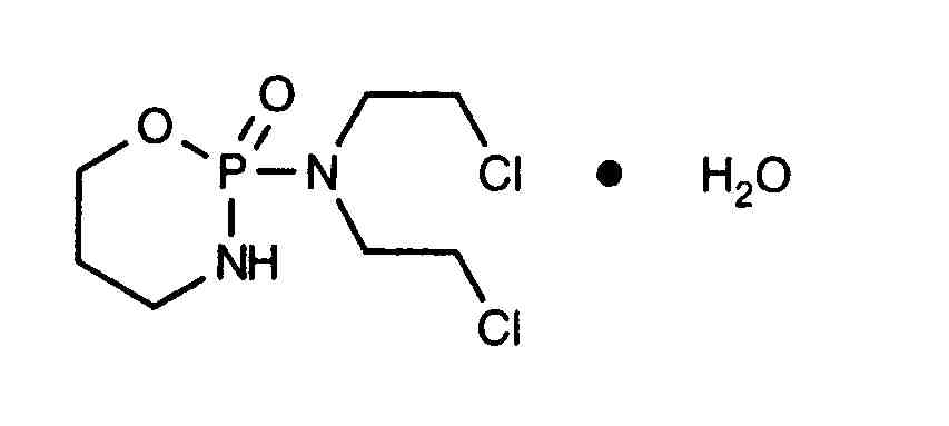
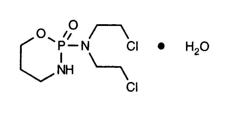
   Molecuulstructuur  

Merknamen in verschillende landen   Merknamen in verschillende landen     

Handelsnamen zijn slechts een indicatie; de samenstelling van hulpstoffen kan per land variëren afhankelijk van de fabrikant

Alkyloxan Egypte, Maleisië
Celomide Indië
Ciclofosfamida Argentinië, Chili, Roemenië
Cicloxal Spanje
Cryofaxol Mexico
Cycloblastin Australië
Cycloblastine Nederland
Cyclophosphamid Denemarken, Duitsland
Cyclophosphamide Groot Britannië, nieuw Zeeland, Saudi-Arabië, USA
Cyclostin Duitsland
Cycloxan Maleisië
Cycram Egypte
Cytoxan Canada, Hongarije, USA
Eldamide Indië
Endoxan Australië, België, Chili, Colombia, Duitsland, Ecuador, Frankrijk, Griekenland, Hongarije, Indië, Iran, Italië, Kroatië, Luxemburg, Marokko, Nederland, nieuw Zeeland, Oostenrijk, Polen, Portugal, Saudi-Arabië, Slovenië, Thailand, Tunisie, Turkije, Venezuela, Verenigde Arabische Emiraten, Zwitserland
Endoxana Groot Britannië, Ierland
Formitex Colombia, Mexico
Genoxal Spanje
Genuxal Brazilië
Hidrofosmin Mexico
Ledoxan Colombia
Ledoxina Colombia, Mexico
Neophos Egypte
Neosar USA
Procytox Canada
Sendoxan Denemarken, Finland, IJsland, Noorwegen, Zweden
Syklofosfamid Finland, Turkije
Stabiliteit in oplossing   injecteerbaar geneesmiddel   Stabiliteit in oplossing : Cyclophosphamide     
Verpakking Oplosmiddel Concentratie Temperatuur Bewaring Duur van de stabiliteit Literatuur
Glas Water voor injectie 20 mg/ml 24-27°C Niet gespecificeerd
4 Dag
1728
Bewijsniveau B

Glas Water voor injectie 20 mg/ml 4°C Buiten invloed van licht
7 Dag
172
Bewijsniveau A

Glas Water voor injectie 20 mg/ml 5°C Buiten invloed van licht
14 Dag
1728
Bewijsniveau B

Glas Natriumchloride 0,9% 0,4 mg/ml 2-8°C Buiten invloed van licht
14 Dag
1728
Bewijsniveau B

Glas Natriumchloride 0,9% 0,4 mg/ml 21-25°C Niet gespecificeerd
6 Dag
1728
Bewijsniveau B

Glas Natriumchloride 0,9% 1 mg/ml 25°C Buiten invloed van licht
7 Dag
172
Bewijsniveau A

Glas Natriumchloride 0,9% 1 mg/ml 4°C Buiten invloed van licht
7 Dag
172
Bewijsniveau A

Glas Glucose 5% 1 mg/ml 25°C Buiten invloed van licht
7 Dag
172
Bewijsniveau A

Glas Glucose 5% 1 mg/ml 4°C Buiten invloed van licht
7 Dag
172
Bewijsniveau A

Polyvinylchloride (PVC) Water voor injectie 20 mg/ml 4°C Buiten invloed van licht
7 Dag
172
Bewijsniveau A

Polyvinylchloride (PVC) Natriumchloride 0,9% 1 mg/ml 25°C Buiten invloed van licht
7 Dag
172
Bewijsniveau A

Polyvinylchloride (PVC) Natriumchloride 0,9% 1 mg/ml 4°C Buiten invloed van licht
7 Dag
172
Bewijsniveau A

Polyvinylchloride (PVC) Natriumchloride 0,9% 10 mg/ml 4°C Buiten invloed van licht
30 Dag
40
Bewijsniveau D

Polyvinylchloride (PVC) Glucose 5% 1 mg/ml 25°C Buiten invloed van licht
2 Dag
172
Bewijsniveau A

Polyvinylchloride (PVC) Glucose 5% 1 mg/ml 4°C Buiten invloed van licht
7 Dag
172
Bewijsniveau A

Polyvinylchloride (PVC) Glucose 5% 10 mg/ml 4°C Buiten invloed van licht
30 Dag
40
Bewijsniveau D

Polyethyleen (PE) Natriumchloride 0,9% 0,24 & 6,4 mg/ml 25°C Buiten invloed van licht
7 Dag
1520
Stabiliteitsgegevens van de fabrikant

Polyethyleen (PE) Glucose 5% 0,24 & 6,4 mg/ml 25°C Buiten invloed van licht
7 Dag
1520
Stabiliteitsgegevens van de fabrikant

Polyolefine Natriumchloride 0,9% 2 mg/ml 2-8°C Buiten invloed van licht
5 Dag
4989
Stabiliteitsgegevens van de fabrikant

Polyolefine Natriumchloride 0,9% 2 mg/ml 25°C Licht
60 Uur
4989
Stabiliteitsgegevens van de fabrikant

Polyolefine Natriumchloride 0,9% 20 mg/ml 2-8°C Buiten invloed van licht
6 Dag
4989
Stabiliteitsgegevens van de fabrikant

Polyolefine Natriumchloride 0,9% 20 mg/ml 25°C Licht
24 Uur
4989
Stabiliteitsgegevens van de fabrikant

Polyolefine Glucose 5% 2 mg/ml 2-8°C Buiten invloed van licht
6 Dag
4989
Stabiliteitsgegevens van de fabrikant

Polyolefine Glucose 5% 2 mg/ml 25°C Licht
60 Uur
4989
Stabiliteitsgegevens van de fabrikant

Polyolefine Glucose 5% 20 mg/ml 2-8°C Buiten invloed van licht
3 Dag
4989
Stabiliteitsgegevens van de fabrikant

Polyolefine Glucose 5% 20 mg/ml 25°C Licht
24 Uur
4989
Stabiliteitsgegevens van de fabrikant

Niet gespecificeerd Natriumchloride 0,9% 20 mg/ml 2-8°C Niet gespecificeerd
6 Dag
4865
Stabiliteitsgegevens van de fabrikant

Niet gespecificeerd Natriumchloride 0,9% 20 mg/ml 25°C Niet gespecificeerd
24 Uur
4865
Stabiliteitsgegevens van de fabrikant

Niet gespecificeerd Glucose 5% 2 mg/ml 2-8°C Niet gespecificeerd
36 Uur
4865
Stabiliteitsgegevens van de fabrikant

Niet gespecificeerd Glucose 5% 2 mg/ml 25°C Niet gespecificeerd
24 Uur
4865
Stabiliteitsgegevens van de fabrikant

Niet gespecificeerd Natriumchloride 0,45 % 2 mg/ml 2-8°C Niet gespecificeerd
6 Dag
4865
Stabiliteitsgegevens van de fabrikant

Niet gespecificeerd Natriumchloride 0,45 % 2 mg/ml 25°C Niet gespecificeerd
24 Uur
4865
Stabiliteitsgegevens van de fabrikant


  Mentions Légales