Последно актуализиране :
27/04/2026
противораково лекарство   Cyclophosphamide  
Инжекция/Инжекционен
Капсула Орален разтвор
Стабилност на разтвори Стабилност на смеси Фактори, повлияващи стабилността Съвместимост Път на въвеждане Библиография Pdf
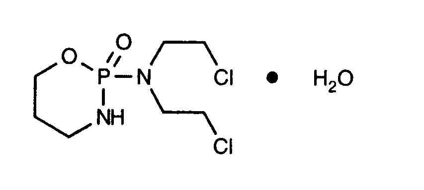
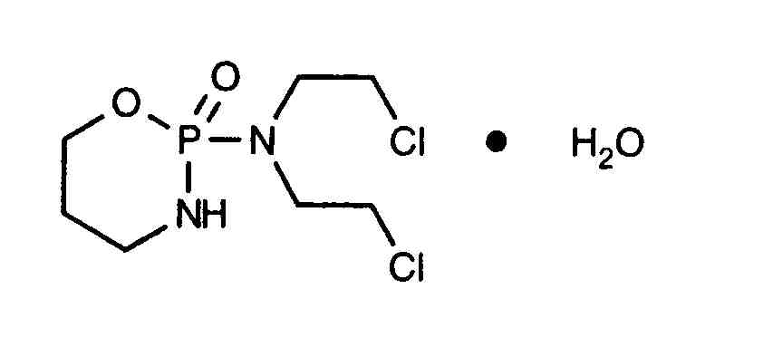
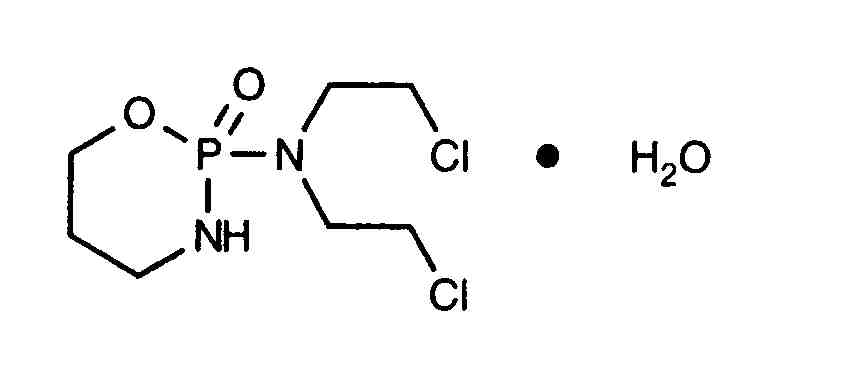
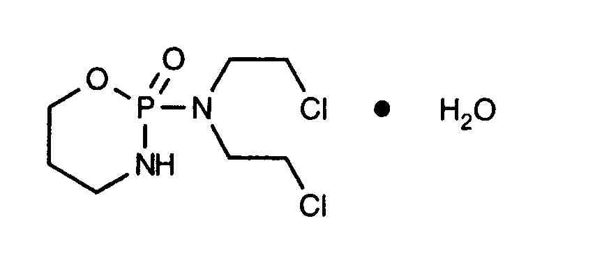
   Химична структура  

Търговско наименование   Търговско наименование     

Търговските имена са примерни и съставът на помощните вещества може да бъде различен в зависимост от държавата и лабораториите

Alkyloxan Египет, Малайзия
Celomide Индия
Ciclofosfamida Аржентина, Румъния, Чили
Cicloxal Испания
Cryofaxol Мексико
Cycloblastin Австралия
Cycloblastine Холандия
Cyclophosphamid Германия, Дания
Cyclophosphamide Великобритания, нова Зеландия, Саудитска Арабия, Съединени Американски щати / САЩ
Cyclostin Германия
Cycloxan Малайзия
Cycram Египет
Cytoxan Канада, Съединени Американски щати / САЩ, Унгария
Eldamide Индия
Endoxan Австралия, Австрия, Белгия, Венецуела, Германия, Гърция, Еквадор, Индия, Иран, Италия, Колумбия, Люксенбург, Мароко, нова Зеландия, Обединени арабски емирства, Полша, Португалия, Саудитска Арабия, Словения, Тайланд, Тунис, Турция, Унгария, Франция, Холандия, Хърватия, Чили, Швейцария
Endoxana Великобритания, Ирландия
Formitex Колумбия, Мексико
Genoxal Испания
Genuxal Бразилия
Hidrofosmin Мексико
Ledoxan Колумбия
Ledoxina Колумбия, Мексико
Neophos Египет
Neosar Съединени Американски щати / САЩ
Procytox Канада
Sendoxan Дания, Исландия, Норвегия, Финландия, Швеция
Syklofosfamid Турция, Финландия
Стабилност на разтвори   Инжекция/Инжекционен   Стабилност на разтвори : Cyclophosphamide     
Контейнер Разтворител Концентрация Температура Съхранение Продължителност на стабилността Библиография
Стъкло Вода за инжекции 20 mg/ml 24-27°C Не е уточнено
4 Ден
1728
Степен на доказаност B

Стъкло Вода за инжекции 20 mg/ml 4°C Защита от светлина
7 Ден
172
Степен на доказаност A

Стъкло Вода за инжекции 20 mg/ml 5°C Защита от светлина
14 Ден
1728
Степен на доказаност B

Стъкло Sodium chloride 0,9% 0,4 mg/ml 2-8°C Защита от светлина
14 Ден
1728
Степен на доказаност B

Стъкло Sodium chloride 0,9% 0,4 mg/ml 21-25°C Не е уточнено
6 Ден
1728
Степен на доказаност B

Стъкло Sodium chloride 0,9% 1 mg/ml 25°C Защита от светлина
7 Ден
172
Степен на доказаност A

Стъкло Sodium chloride 0,9% 1 mg/ml 4°C Защита от светлина
7 Ден
172
Степен на доказаност A

Стъкло Glucose 5% 1 mg/ml 25°C Защита от светлина
7 Ден
172
Степен на доказаност A

Стъкло Glucose 5% 1 mg/ml 4°C Защита от светлина
7 Ден
172
Степен на доказаност A

Поливинил хлорид Вода за инжекции 20 mg/ml 4°C Защита от светлина
7 Ден
172
Степен на доказаност A

Поливинил хлорид Sodium chloride 0,9% 1 mg/ml 25°C Защита от светлина
7 Ден
172
Степен на доказаност A

Поливинил хлорид Sodium chloride 0,9% 1 mg/ml 4°C Защита от светлина
7 Ден
172
Степен на доказаност A

Поливинил хлорид Sodium chloride 0,9% 10 mg/ml 4°C Защита от светлина
30 Ден
40
Степен на доказаност D

Поливинил хлорид Glucose 5% 1 mg/ml 25°C Защита от светлина
2 Ден
172
Степен на доказаност A

Поливинил хлорид Glucose 5% 1 mg/ml 4°C Защита от светлина
7 Ден
172
Степен на доказаност A

Поливинил хлорид Glucose 5% 10 mg/ml 4°C Защита от светлина
30 Ден
40
Степен на доказаност D

Полиетилен Sodium chloride 0,9% 0,24 & 6,4 mg/ml 25°C Защита от светлина
7 Ден
1520
Данни за стабилност на производителя

Полиетилен Glucose 5% 0,24 & 6,4 mg/ml 25°C Защита от светлина
7 Ден
1520
Данни за стабилност на производителя

Полиолефин Sodium chloride 0,9% 2 mg/ml 2-8°C Защита от светлина
5 Ден
4989
Данни за стабилност на производителя

Полиолефин Sodium chloride 0,9% 2 mg/ml 25°C Светлина
60 Час
4989
Данни за стабилност на производителя

Полиолефин Sodium chloride 0,9% 20 mg/ml 2-8°C Защита от светлина
6 Ден
4989
Данни за стабилност на производителя

Полиолефин Sodium chloride 0,9% 20 mg/ml 25°C Светлина
24 Час
4989
Данни за стабилност на производителя

Полиолефин Glucose 5% 2 mg/ml 2-8°C Защита от светлина
6 Ден
4989
Данни за стабилност на производителя

Полиолефин Glucose 5% 2 mg/ml 25°C Светлина
60 Час
4989
Данни за стабилност на производителя

Полиолефин Glucose 5% 20 mg/ml 2-8°C Защита от светлина
3 Ден
4989
Данни за стабилност на производителя

Полиолефин Glucose 5% 20 mg/ml 25°C Светлина
24 Час
4989
Данни за стабилност на производителя

Не е уточнено Sodium chloride 0,9% 20 mg/ml 2-8°C Не е уточнено
6 Ден
4865
Данни за стабилност на производителя

Не е уточнено Sodium chloride 0,9% 20 mg/ml 25°C Не е уточнено
24 Час
4865
Данни за стабилност на производителя

Не е уточнено Glucose 5% 2 mg/ml 2-8°C Не е уточнено
36 Час
4865
Данни за стабилност на производителя

Не е уточнено Glucose 5% 2 mg/ml 25°C Не е уточнено
24 Час
4865
Данни за стабилност на производителя

Не е уточнено Sodium chloride 0,45% 2 mg/ml 2-8°C Не е уточнено
6 Ден
4865
Данни за стабилност на производителя

Не е уточнено Sodium chloride 0,45% 2 mg/ml 25°C Не е уточнено
24 Час
4865
Данни за стабилност на производителя


  Mentions Légales