Pēdējā atjaunošana :
27/04/2026
vēzis narkotiku   Cyclophosphamide  
Injekcija
Kapsula Orāls šķīdums
Šķīduma stabilitāte Maisījuma stabilitāte Stabilitāti ietekmējoši faktori Saderība Levadīšanas veids Literatūras saraksts pdf
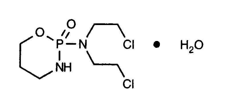
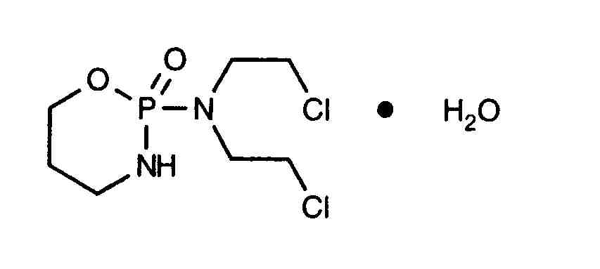
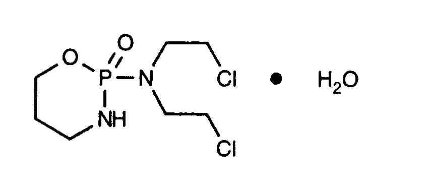
   Ķīmiskā uzbūve   

Oriģinālais nosaukums   Oriģinālais nosaukums     

Tirdzniecības nosaukumi ir apzīmējoši un palīgvielas var atšķirties dažādām valstīm un laboratorijām

Alkyloxan Ēģipte, Malaizija
Celomide Indija
Ciclofosfamida Argentīna, Čīle, Rumānija
Cicloxal Spānija
Cryofaxol Meksika
Cycloblastin Austrālija
Cycloblastine Holande
Cyclophosphamid Dānija, Vācija
Cyclophosphamide Amerikas Savienotās Valstis, Jaunzēlande, Lielbritānija, Saūda Arābija
Cyclostin Vācija
Cycloxan Malaizija
Cycram Ēģipte
Cytoxan Amerikas Savienotās Valstis, Kanāda, Ungārija
Eldamide Indija
Endoxan Apvienotie Arābu Emirāti, Austrālija, Austrija, Beļģija, Čīle, Ekvadora, Francija, Grieķija, Holande, Horvātija, Indija, Irāna, Itālija, Jaunzēlande, Kolumbija, Luksemburga, Maroka, Polija, Portugāle, Saūda Arābija, Slovēnija, Šveice, Taizeme, Tunisija, Turcija, Ungārija, Vācija, Venecuēla
Endoxana Īrija, Lielbritānija
Formitex Kolumbija, Meksika
Genoxal Spānija
Genuxal Brazīlija
Hidrofosmin Meksika
Ledoxan Kolumbija
Ledoxina Kolumbija, Meksika
Neophos Ēģipte
Neosar Amerikas Savienotās Valstis
Procytox Kanāda
Sendoxan Dānija, Islande, Norvēģija, Somija, Zviedrija
Syklofosfamid Somija, Turcija
Šķīduma stabilitāte   Injekcija   Šķīduma stabilitāte : Cyclophosphamide     
Iepakojums Šķīdinātājs Koncentrācija Temperatūra Glabāšana Stabilitātes ilgums Literatūras saraksts
Stikls Ūdens injekcijām 20 mg/ml 24-27°C Nav specifisks
4 Diena
1728
Pierādījumu līmenis B

Stikls Ūdens injekcijām 20 mg/ml 4°C Aizsargāt no gaismas
7 Diena
172
Pierādījumu līmenis A

Stikls Ūdens injekcijām 20 mg/ml 5°C Aizsargāt no gaismas
14 Diena
1728
Pierādījumu līmenis B

Stikls Nātrija hlorīds 0.9% 0,4 mg/ml 2-8°C Aizsargāt no gaismas
14 Diena
1728
Pierādījumu līmenis B

Stikls Nātrija hlorīds 0.9% 0,4 mg/ml 21-25°C Nav specifisks
6 Diena
1728
Pierādījumu līmenis B

Stikls Nātrija hlorīds 0.9% 1 mg/ml 25°C Aizsargāt no gaismas
7 Diena
172
Pierādījumu līmenis A

Stikls Nātrija hlorīds 0.9% 1 mg/ml 4°C Aizsargāt no gaismas
7 Diena
172
Pierādījumu līmenis A

Stikls 5% glikoze 1 mg/ml 25°C Aizsargāt no gaismas
7 Diena
172
Pierādījumu līmenis A

Stikls 5% glikoze 1 mg/ml 4°C Aizsargāt no gaismas
7 Diena
172
Pierādījumu līmenis A

Polivinilhlorīds Ūdens injekcijām 20 mg/ml 4°C Aizsargāt no gaismas
7 Diena
172
Pierādījumu līmenis A

Polivinilhlorīds Nātrija hlorīds 0.9% 1 mg/ml 25°C Aizsargāt no gaismas
7 Diena
172
Pierādījumu līmenis A

Polivinilhlorīds Nātrija hlorīds 0.9% 1 mg/ml 4°C Aizsargāt no gaismas
7 Diena
172
Pierādījumu līmenis A

Polivinilhlorīds Nātrija hlorīds 0.9% 10 mg/ml 4°C Aizsargāt no gaismas
30 Diena
40
Pierādījumu līmenis D

Polivinilhlorīds 5% glikoze 1 mg/ml 25°C Aizsargāt no gaismas
2 Diena
172
Pierādījumu līmenis A

Polivinilhlorīds 5% glikoze 1 mg/ml 4°C Aizsargāt no gaismas
7 Diena
172
Pierādījumu līmenis A

Polivinilhlorīds 5% glikoze 10 mg/ml 4°C Aizsargāt no gaismas
30 Diena
40
Pierādījumu līmenis D

Polietilēns Nātrija hlorīds 0.9% 0,24 & 6,4 mg/ml 25°C Aizsargāt no gaismas
7 Diena
1520
Ražotāja stabilitātes dati

Polietilēns 5% glikoze 0,24 & 6,4 mg/ml 25°C Aizsargāt no gaismas
7 Diena
1520
Ražotāja stabilitātes dati

Poliolefīns Nātrija hlorīds 0.9% 2 mg/ml 2-8°C Aizsargāt no gaismas
5 Diena
4989
Ražotāja stabilitātes dati

Poliolefīns Nātrija hlorīds 0.9% 2 mg/ml 25°C Gaisma
60 Stunda
4989
Ražotāja stabilitātes dati

Poliolefīns Nātrija hlorīds 0.9% 20 mg/ml 2-8°C Aizsargāt no gaismas
6 Diena
4989
Ražotāja stabilitātes dati

Poliolefīns Nātrija hlorīds 0.9% 20 mg/ml 25°C Gaisma
24 Stunda
4989
Ražotāja stabilitātes dati

Poliolefīns 5% glikoze 2 mg/ml 2-8°C Aizsargāt no gaismas
6 Diena
4989
Ražotāja stabilitātes dati

Poliolefīns 5% glikoze 2 mg/ml 25°C Gaisma
60 Stunda
4989
Ražotāja stabilitātes dati

Poliolefīns 5% glikoze 20 mg/ml 2-8°C Aizsargāt no gaismas
3 Diena
4989
Ražotāja stabilitātes dati

Poliolefīns 5% glikoze 20 mg/ml 25°C Gaisma
24 Stunda
4989
Ražotāja stabilitātes dati

Nespecifisks Nātrija hlorīds 0.9% 20 mg/ml 2-8°C Nav specifisks
6 Diena
4865
Ražotāja stabilitātes dati

Nespecifisks Nātrija hlorīds 0.9% 20 mg/ml 25°C Nav specifisks
24 Stunda
4865
Ražotāja stabilitātes dati

Nespecifisks 5% glikoze 2 mg/ml 2-8°C Nav specifisks
36 Stunda
4865
Ražotāja stabilitātes dati

Nespecifisks 5% glikoze 2 mg/ml 25°C Nav specifisks
24 Stunda
4865
Ražotāja stabilitātes dati

Nespecifisks Nātrija hlorīds 0.45% 2 mg/ml 2-8°C Nav specifisks
6 Diena
4865
Ražotāja stabilitātes dati

Nespecifisks Nātrija hlorīds 0.45% 2 mg/ml 25°C Nav specifisks
24 Stunda
4865
Ražotāja stabilitātes dati


  Mentions Légales