Ultimele actualizari :
27/04/2026
Antibiotic   Colistin mesilate sodium  
Injectabil
Aerosol
Stabilitatea in solutie Stabilitatea in amestec Factorii care influenteaza stabilitatea Compatibilitate Microunde Bibliografie pdf
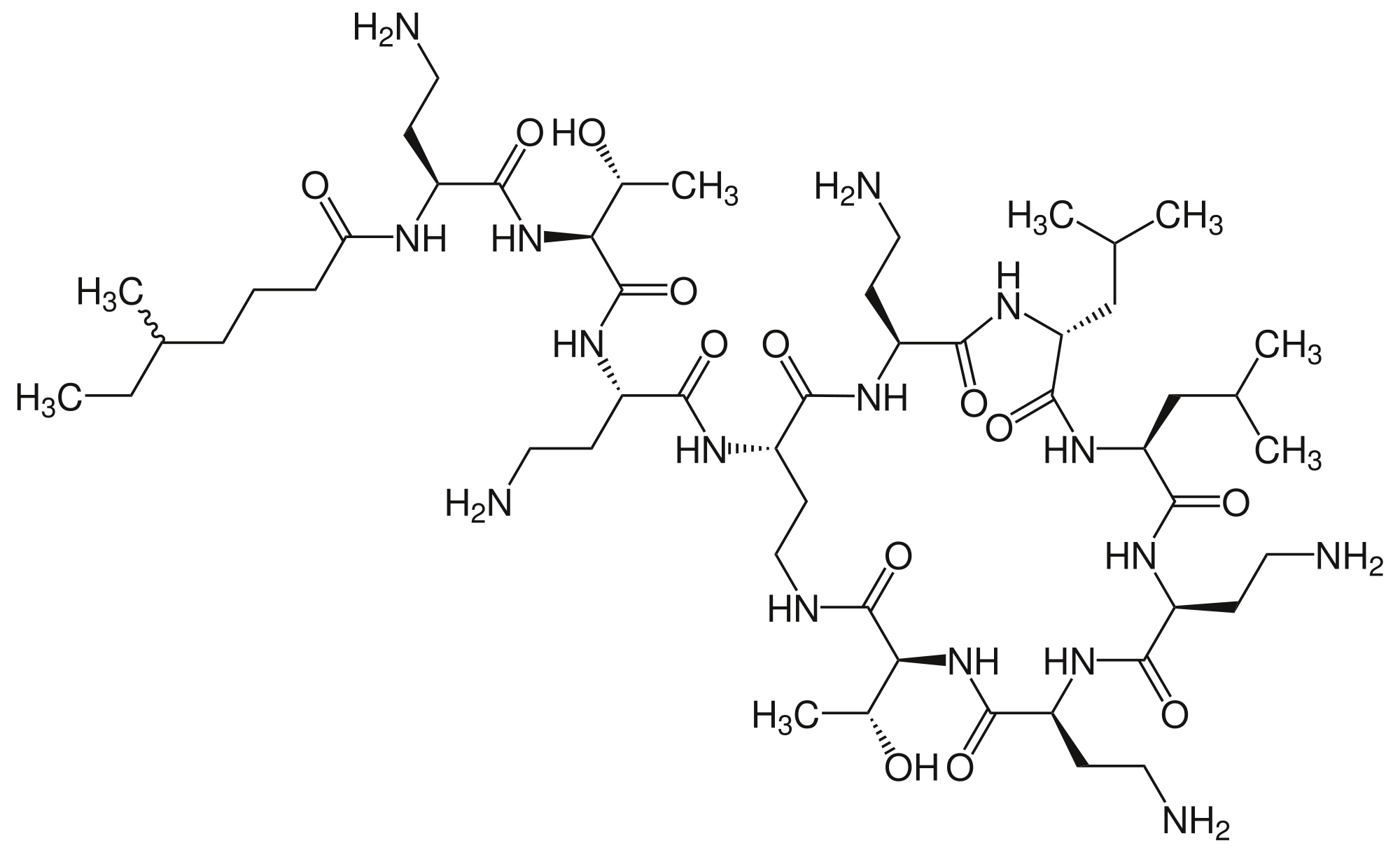
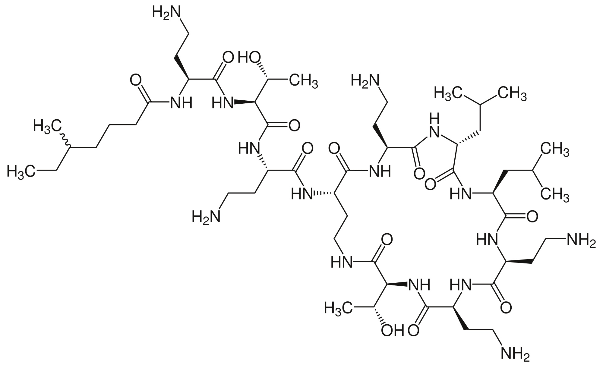
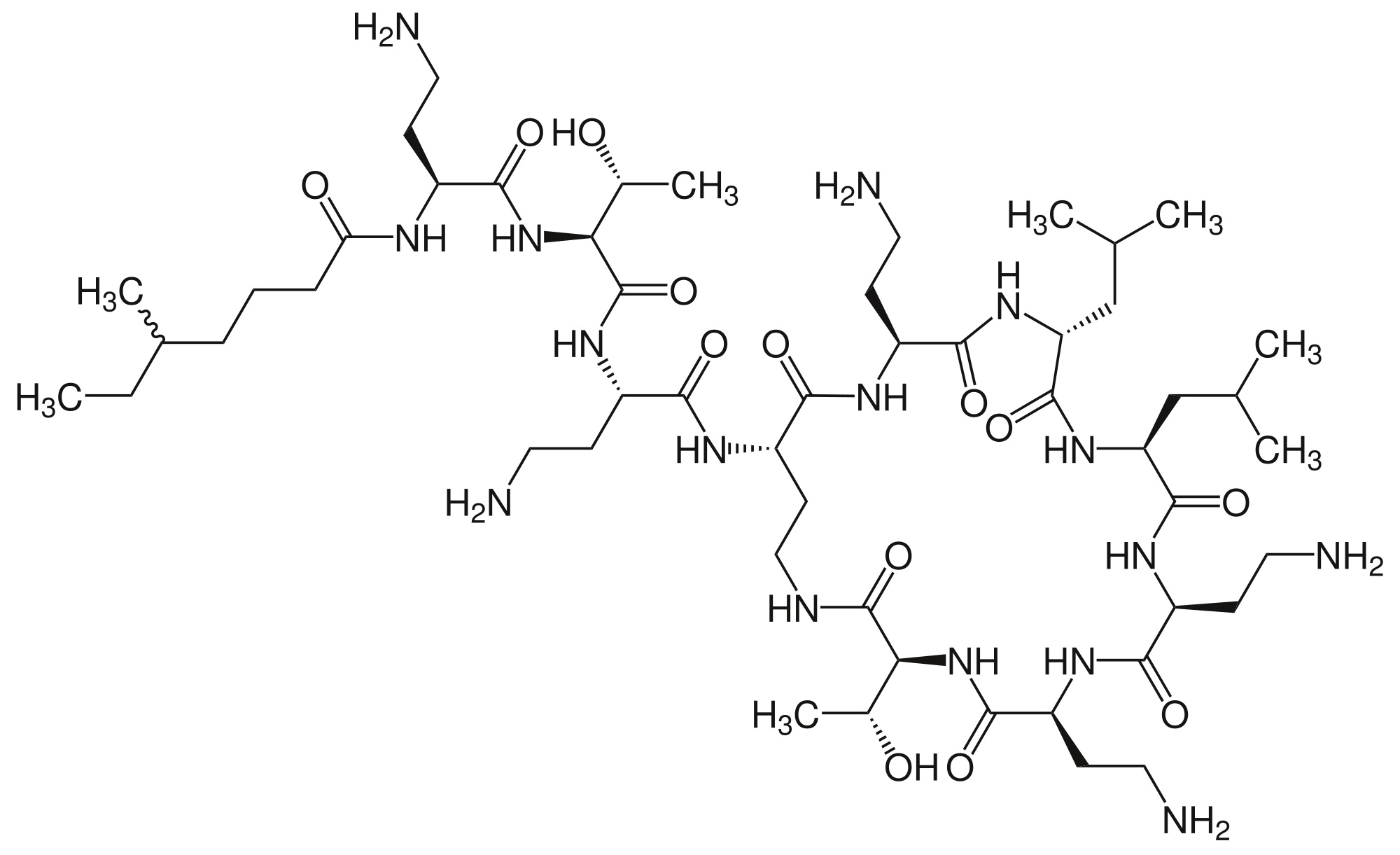
   Formula chimica  

Denumirea comerciala   Denumirea comerciala     

Trade names are indicative and excipients composition can be different depending on the country and manufacturers

Alficetin Argentina
Colimicina Italia
Colimycin Danemarca, Norvegia, Turcia
Colimycine Franta, Luxemburg, Maroc, Olanda, Tunisia
Colismet Peru
Colistimethate Canada, Franta, Marea Britanie, SUA
Colistin Austria, Germania, Grecia, noua Zeelandă, Polonia
Colistina Argentina, Chilli, Portugalia
Colistineb Belgia
Colistyn Argentina
Colixin Slovenia
Colomycin Canada, Irlanda, Malaezia, Marea Britanie, SUA
Dicupal Chilli
Elistin Peru
Kolisod Turcia
Nolisin
Promixin Germania, Irlanda, Marea Britanie, Norvegia
Toliscrin Argentina
Stabilitatea in amestec   Injectabil   Stabilitatea in amestec : Colistin mesilate sodium     
Absenta de date

  Mentions Légales