آخر تحديث :
27/04/2026
مضاد حيوي   Colistin mesilate sodium  
حقن
الأيروصولات
الاستقرار في حلول استقرار مخاليط العوامل التي تؤثر على الاستقرار التوافق طريقة التعاطي مراجع pdf
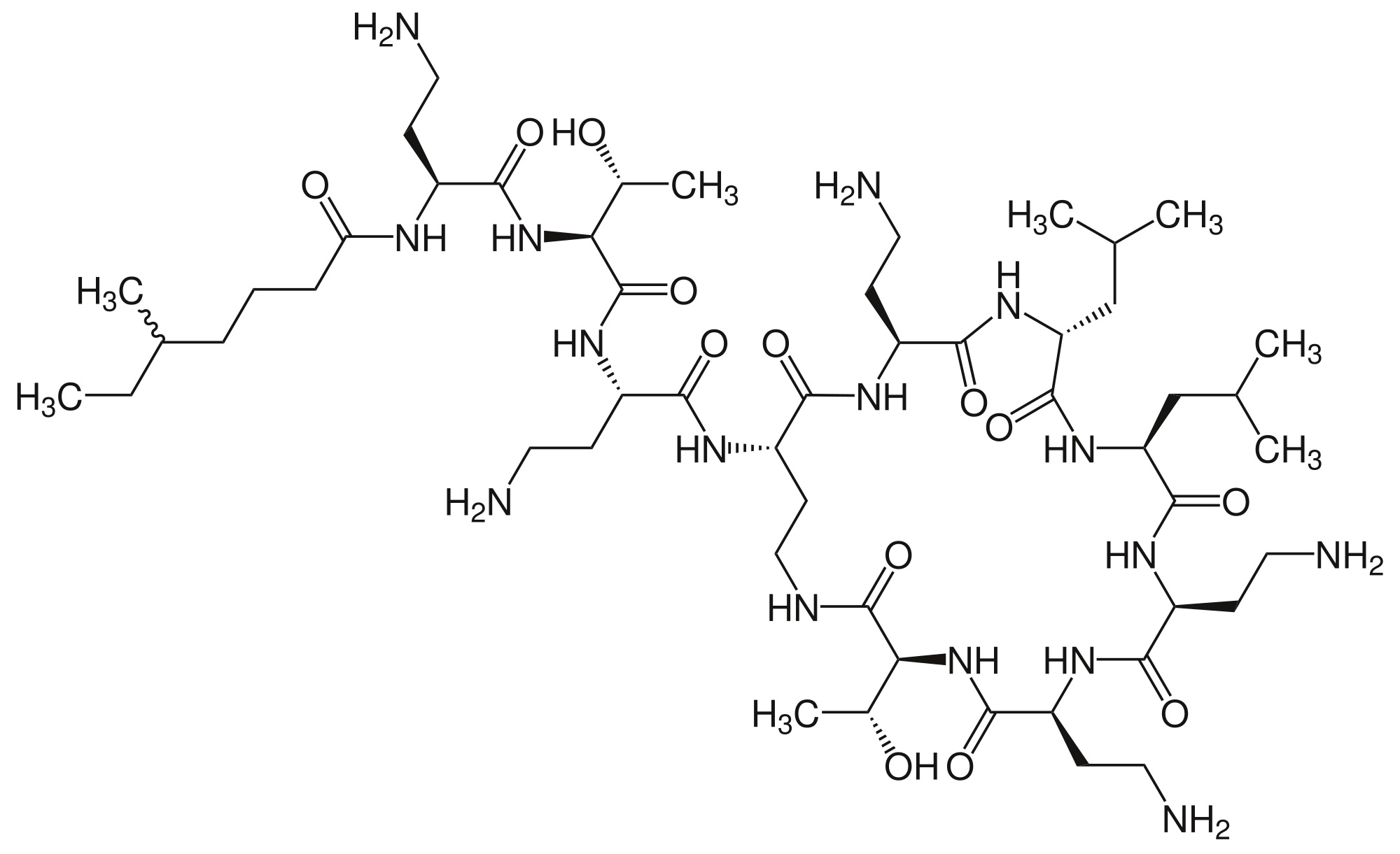
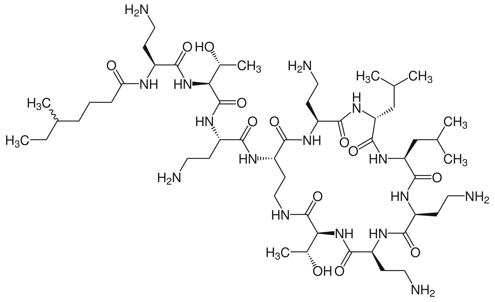
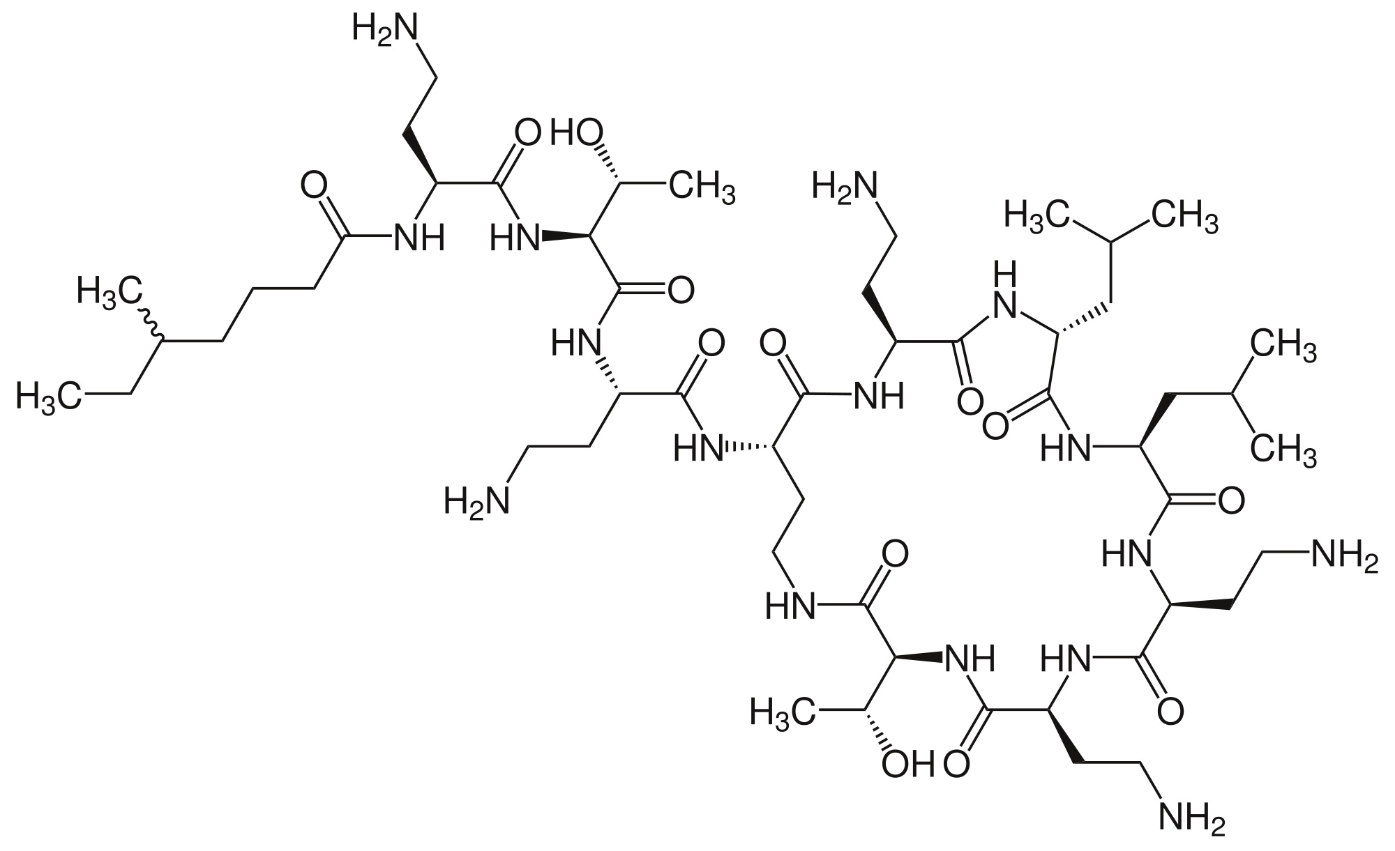
   التركيب الكيميائي  

حجز الاسم التجاري   حجز الاسم التجاري     

تحذير الأسماء التجاريه المختلفه قد تحتوي علي محتوي إضافات مختلفة حسب الدوله و المعمل

Alficetin الأرجنتين
Colimicina إيطاليا
Colimycin الدنمارك, النرويج, تركيا
Colimycine المغرب, تونس, فرنسا, لوكسمبورغ, هولندا
Colismet بيرو
Colistimethate الولايات المتحدة, بريطانيا العظمي, فرنسا, كندا
Colistin ألمانيا, النمسا, بولندا, زيلاندا الجديدة, يونان
Colistina الأرجنتين, البرتغال, تشيلي
Colistineb بلجيكا
Colistyn الأرجنتين
Colixin سلوفينيا
Colomycin الولايات المتحدة, ايرلندا, بريطانيا العظمي, كندا, ماليزيا
Dicupal تشيلي
Elistin بيرو
Kolisod تركيا
Nolisin
Promixin ألمانيا, النرويج, ايرلندا, بريطانيا العظمي
Toliscrin الأرجنتين
استقرار مخاليط   حقن   استقرار مخاليط : Colistin mesilate sodium     
لا توجد بيانات

  Mentions Légales