Poslední aktualizace :
27/01/2026
Antibiotikum   Colistin mesilate sodium  
injekce
Aerosol
Stabilita roztoků Stabilita směsí Faktory ovlivňující stabilitu Kompatibilita Způsoby aplikace Odkazy pdf
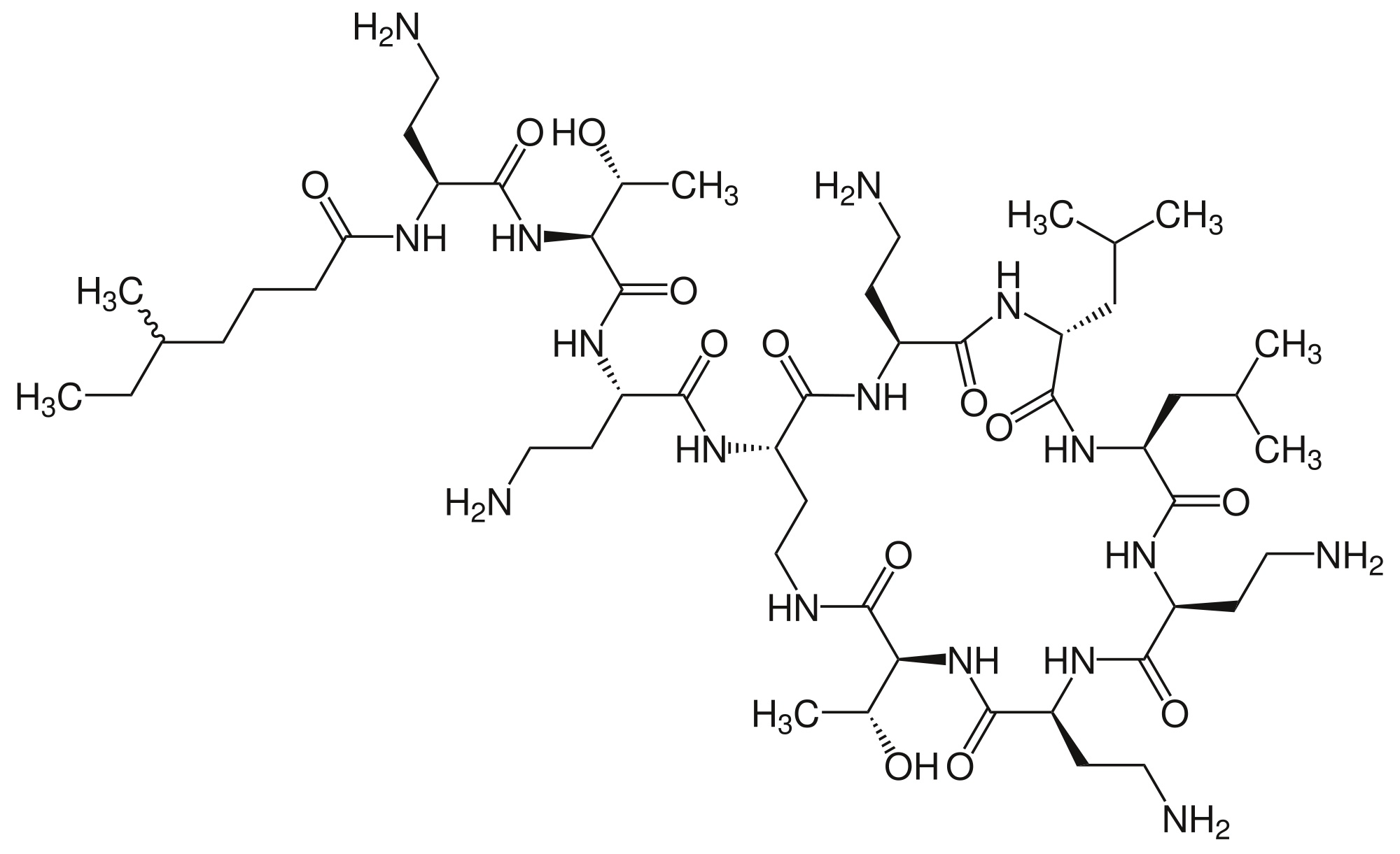
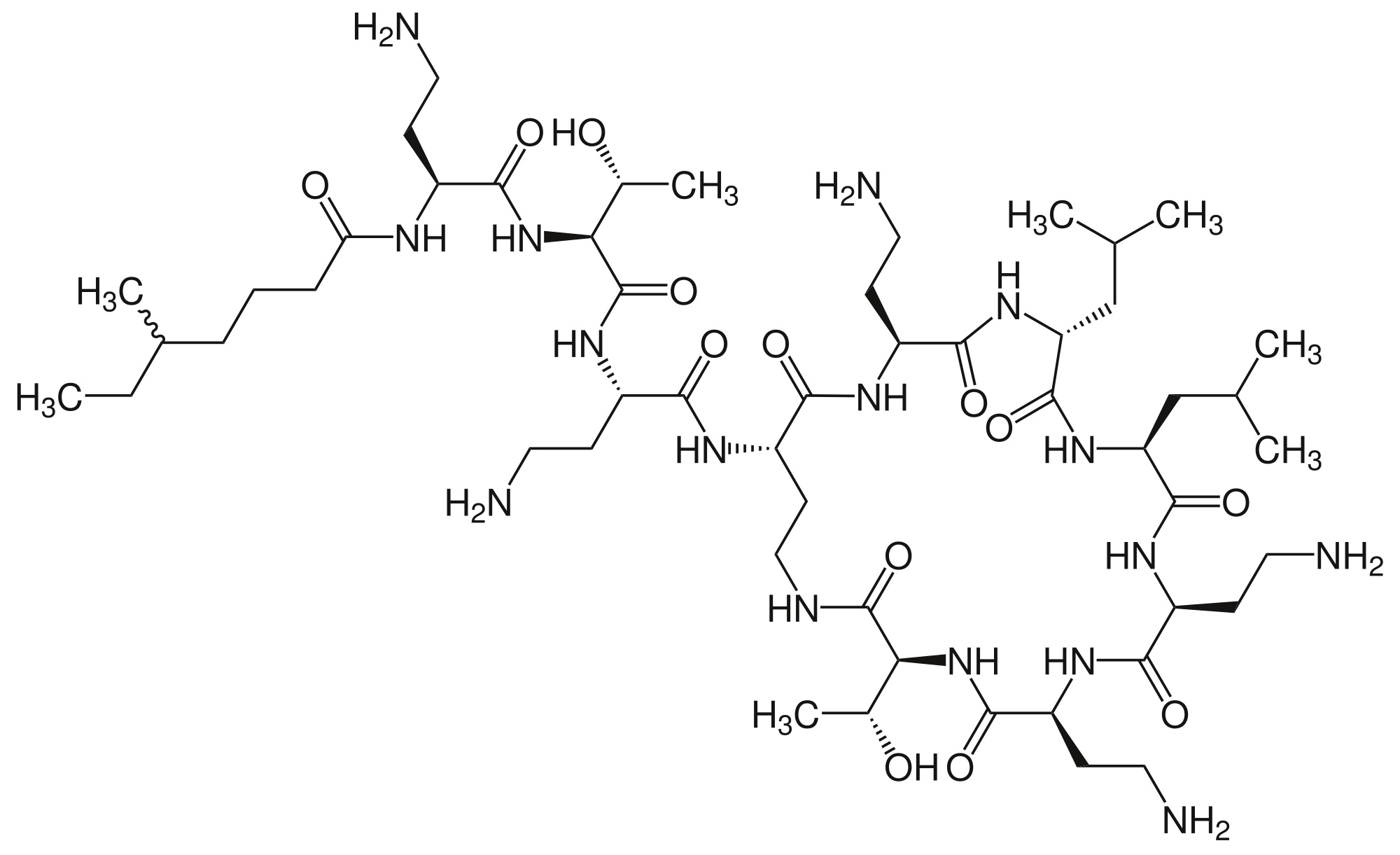
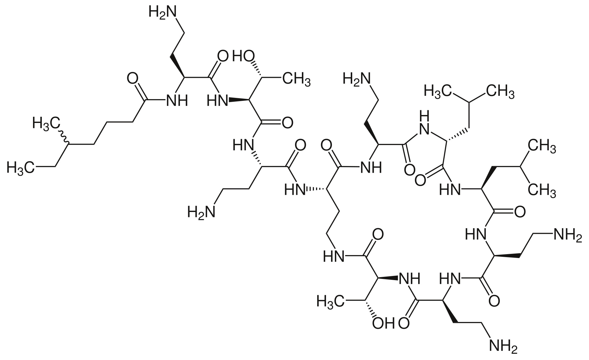
   Chemický vzorec  

Obchodní název   Obchodní název     

Trade names are indicative and excipients composition can be different depending on the country and manufacturers

Alficetin Argentina
Colimicina Itálie
Colimycin Dánsko, Norsko, Turecko
Colimycine Francie, Lucembursko, Maroko, Nizozemsko, Tunisko
Colismet Peru
Colistimethate Francie, Kanada, USA, Velká Británie
Colistin NÏmecko, nový Zéland, Polsko, Rakousko, ÿecko
Colistina Argentina, Chile, Portugalsko
Colistineb Belgie
Colistyn Argentina
Colixin Slovinsko
Colomycin Irsko, Kanada, Malajsie, USA, Velká Británie
Dicupal Chile
Elistin Peru
Kolisod Turecko
Nolisin
Promixin Irsko, NÏmecko, Norsko, Velká Británie
Toliscrin Argentina
Stabilita směsí   injekce   Stabilita směsí : Colistin mesilate sodium     
žádná data

  Mentions Légales